زیرساخت پایدار برگزاری آزمون آنلاین
www.digiform.ir

آزمون ریاضی 1 خرداد 1400 به صورت دیجی فرم

digiform

استفاده از اپلیکیشن ها و پیامرسان ها، پاسخ به تماس ها و استفاده از کلید های پایین موبایل مجاز نیست

زمان تکمیل این آزمون 60 دقیقه میباشد



مرحله بعد
نام و نام خانوادگی خود را وارد نمایید *



تایید

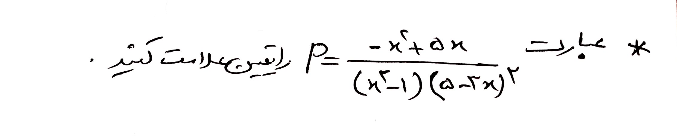
(1 نمره)
دریافت سوال 7



تایید

(1 نمره)
دریافت سوال 5



تایید

(1 نمره)
دریافت سوال 19



تایید

(1 نمره)
دریافت سوال 13



تایید

(1 نمره)
دریافت سوال 16



تایید

(1 نمره)
دریافت سوال 12



تایید

(1 نمره)
دریافت سوال 10



تایید

(1 نمره)
دریافت سوال 20



تایید

(1 نمره)
دریافت سوال 15



تایید

(1 نمره)
دریافت سوال 3



تایید