زیرساخت پایدار برگزاری آزمون آنلاین
www.digiform.ir

آزمون سوالات تستی فصل اول پایه هشتم به صورت دیجی فرم

سلام مهربانم از روی سوالات با دقت بخوان و به پرسش ها بهترین جواب را بده.

digiform

استفاده از اپلیکیشن ها و پیامرسان ها، پاسخ به تماس ها و استفاده از کلید های پایین موبایل مجاز نیست

زمان تکمیل این آزمون 45 دقیقه میباشد



تایید و ادامه
نام و نام خانوادگی خود را وارد نمایید *



تایید

۱
دریافت سوال 1



تایید

۲
دریافت سوال 2



تایید

۳
دریافت سوال 3



تایید

۴
دریافت سوال 4



تایید

۵
دریافت سوال 5



تایید

۶
دریافت سوال 6



تایید

۷
دریافت سوال 7



تایید

۸
دریافت سوال 8



تایید

۹
دریافت سوال 9



تایید

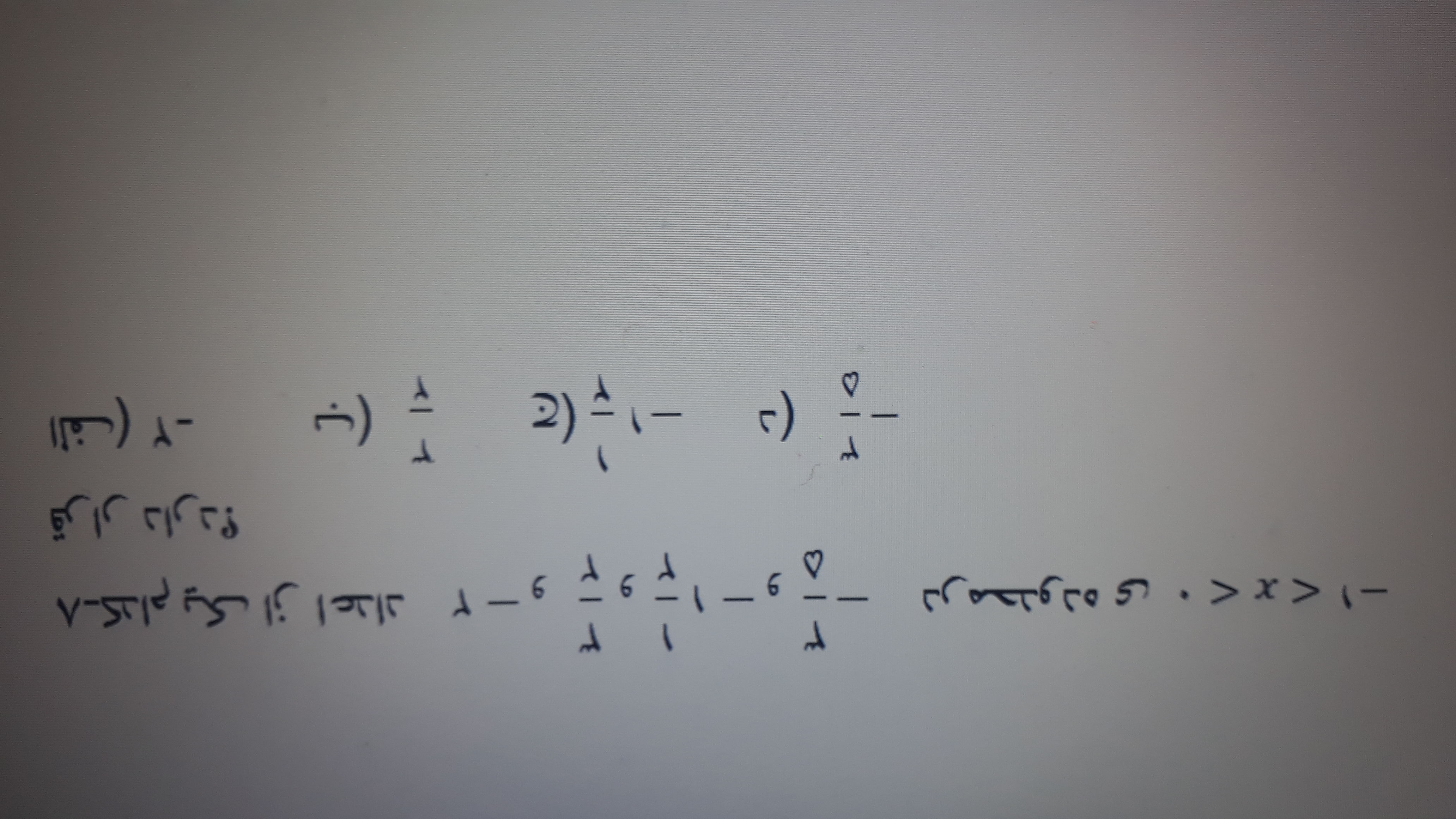
۱۰
دریافت سوال 10



تایید