زیرساخت پایدار برگزاری آزمون آنلاین
www.digiform.ir

آزمون 12 انسانی بهمن به صورت دیجی فرم

 بسمه تعالی

آزمون ماهانه ریاضی و آمار 3

30 بهمن 1400

دبیرستان عفت

* سوالات به صورت تصادفی برای شما نمایش داده می شوند .

برای پاسخ فقط شماره سوال و جواب را برای من بفرستید .‌نیازی به رونوشت سوال نیست

digiform

استفاده از اپلیکیشن ها و پیامرسان ها، پاسخ به تماس ها و استفاده از کلید های پایین موبایل مجاز نیست

زمان تکمیل این آزمون 45 دقیقه میباشد



مرحله بعد
نام و نام خانوادگی خود را وارد نمایید *



تایید

۸ (2 نمره)
دریافت سوال 8



تایید

۳ (2 نمره)
دریافت سوال 3



تایید

۱۱ (2 نمره)
دریافت سوال 11



تایید

۶ (2 نمره)
دریافت سوال 6



تایید

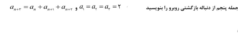
(2 نمره)
دریافت سوال 2



تایید