زیرساخت پایدار برگزاری آزمون آنلاین
www.digiform.ir

آزمون اولین آزمون دهم تجربی به صورت دیجی فرم

طراح : الهام تیلا دبیرستان علوی برتر

digiform

استفاده از اپلیکیشن ها و پیامرسان ها، پاسخ به تماس ها و استفاده از کلید های پایین موبایل مجاز نیست

زمان تکمیل این آزمون 10 دقیقه میباشد



تایید و ادامه
نام و نام خانوادگی خود را وارد نمایید *



تایید

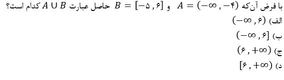
سوال اول
دریافت سوال 1



تایید

سوال دوم
دریافت سوال 2



تایید