زیرساخت پایدار برگزاری آزمون آنلاین
www.digiform.ir

آزمون ریاضی دهم انسانی نهم ابان ماه به صورت دیجی فرم

سلام
✅دانش آموزان عزیز در زمان  75 دقیقه با توکل به خدا و آرامش به سوالات تست پاسخ دهید. ✅هرگونه خارج شدن از سایت ،زنگ زدن حین  آزمون ،اسکرین شات گرفتن از صفحه، استفاده از اپلیکیشن های دیگربه عنوان موارد تقلب محسوب می شود.
✅ضمناً فقط یک بار حق شرکت در آزمون دارید. هر سوال را با دقت خوانده و با آرامش جواب دهید
✅ نمره امتحان از 20نمره می باشد 
🌸موفق باشید 🌸 


digiform

استفاده از اپلیکیشن ها و پیامرسان ها، پاسخ به تماس ها و استفاده از کلید های پایین موبایل مجاز نیست

زمان تکمیل این آزمون 75 دقیقه میباشد



تایید و ادامه
نام و نام خانوادگی خود را وارد نمایید *



تایید

کد ملی خود را وارد نمایید *



تایید

(1 نمره)
دریافت سوال 9



تایید

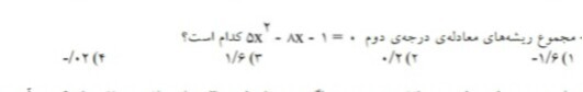
سوال 19.

معادله 0=6x+9+x2

1-ریشه ندارد

2-دو ریشه حقیقی دارد

3-ریشه مضاعف دارد

4-قابل حل کردن نمیباشد (1 نمره)



تایید

(1 نمره)
دریافت سوال 5



تایید

سوال 15 (1 نمره)
دریافت سوال 15



تایید

سوال 20

در معادله8=1-x2. ریشه های معادله کدامند؟

3-1

2-   3 و 3-

3-3-

 4 -  2- و 2 (1 نمره)



تایید

(1 نمره)
دریافت سوال 2



تایید

(1 نمره)
دریافت سوال 11



تایید

(1 نمره)
دریافت سوال 4



تایید

(1 نمره)
دریافت سوال 14



تایید

(1 نمره)
دریافت سوال 13



تایید

(1 نمره)
دریافت سوال 3



تایید

(1 نمره)
دریافت سوال 1



تایید

(1 نمره)
دریافت سوال 6



تایید

(1 نمره)
دریافت سوال 8



تایید

(1 نمره)
دریافت سوال 12



تایید

سوال 17 (1 نمره)
دریافت سوال 17



تایید

(1 نمره)
دریافت سوال 7



تایید

سوال 18

جواب عدد دلتا در عبارت0=4+8x- x2 کدام است؟

1_48

80-2_

80-3

48-4- (1 نمره)



تایید

سوال 16 (1 نمره)
دریافت سوال 16



تایید

(1 نمره)
دریافت سوال 10



تایید