زیرساخت پایدار برگزاری آزمون آنلاین
www.digiform.ir

آزمون شیمی دوازدهم به صورت دیجی فرم

آزمون شیمی

digiform

استفاده از اپلیکیشن ها و پیامرسان ها، پاسخ به تماس ها و استفاده از کلید های پایین موبایل مجاز نیست

زمان تکمیل این آزمون 35 دقیقه میباشد

پس از پاسخ به هر سوال، امکان بازگشت و ویرایش پاسخ وجود ندارد



تایید و ادامه
نام و نام خانوادگی خود را وارد نمایید *



تایید

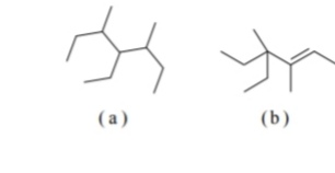
طبق اصل آیوپاک در کدام گزینه نام ترکیب های(a) و(b) به ترتیب به درستی آمده است؟
دریافت سوال 3



تایید

چند کیلوژول انرژی باید از 75گرم آلومینیوم گرفته شود تا دمای آن از 120 درجه سانتی گراد به 30درجه سانتی گراد برسد؟ (ظرفیت گرمایی ویژه آلومینیوم برابر0/9 ژول بر گرم بر درجه سانتی گراد میباشد؟



تایید

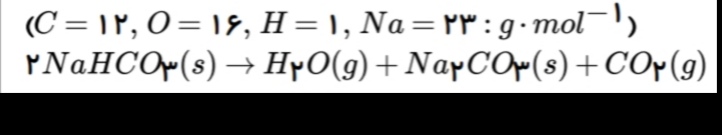
از تجزیه کامل 20گرم سدیم هیدروژن کربنات، طبق واکنش زیر 13/8گرم ماده جامد در ظرف باقی می ماند درصد خلوص سدیم هیدروژن کربنات کدام می باشد؟
دریافت سوال 4



تایید

دریافت سوال 8



تایید

در چه تعداد از موارد زیر، گروه های عاملی ونام آنها به درستی مشخص شده اند؟
دریافت سوال 9



تایید

در یک گروه از بالا به پایین شعاع اتمی......... و در یک دوره از چپ به راست خصلت فلزی........... می شود.



تایید

کدام گزینه در مورد جدول تناوبی صحیح نیست؟



تایید

از واکنش 8/1 گرم فلز آلومینیوم با خلوص 80% با محلول مس(II) سولفات مطابق واکنش زیر چند گرم فلز مس با بازده 75%حاصل می شود؟
دریافت سوال 5



تایید

گرمای جذب شده یا آزاد شده در یک واکنش شیمیایی ناشی از چیست؟



تایید