زیرساخت پایدار برگزاری آزمون آنلاین
www.digiform.ir

آزمون امتحان ریاضی3(کاربرد مشتق) به صورت دیجی فرم

مدت زمان آزمون برای امتحان تشریحی طراحی شده لذا بادقت سوالات را حل کرده و گزینه مناسب را انتخاب کنید.
در صورت خروج از صفحه امتحان به هردلیلی امکان بازگشت وجود نخواهد داشت.
با آرزوی موفقیت
لیلا آژنگ

digiform

استفاده از اپلیکیشن ها و پیامرسان ها، پاسخ به تماس ها و استفاده از کلید های پایین موبایل مجاز نیست

زمان تکمیل این آزمون 50 دقیقه میباشد



مرحله بعد
نام و نام خانوادگی خود را وارد نمایید *



تایید

نام مدرسه خود را وارد نمایید *



تایید

(2 نمره)
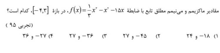
دریافت سوال 6



تایید

(2 نمره)
دریافت سوال 11



تایید

(2 نمره)
دریافت سوال 9



تایید

(2 نمره)
دریافت سوال 12



تایید

(2 نمره)
دریافت سوال 1



تایید

(2 نمره)
دریافت سوال 13



تایید

(2 نمره)
دریافت سوال 7



تایید

(2 نمره)
دریافت سوال 4



تایید

(2 نمره)
دریافت سوال 15



تایید

(2 نمره)
دریافت سوال 2



تایید