زیرساخت پایدار برگزاری آزمون آنلاین
www.digiform.ir

آزمون فصل 5 ریاضی دهم رشته تجربی و ریاضی به صورت دیجی فرم

سوالات را بدقت خوانده و گزینه صحیح را انتخاب کنید

digiform

استفاده از اپلیکیشن ها و پیامرسان ها، پاسخ به تماس ها و استفاده از کلید های پایین موبایل مجاز نیست

زمان تکمیل این آزمون 30 دقیقه میباشد



تایید و ادامه
نام و نام خانوادگی خود را وارد نمایید *



تایید

شماره کلاس خود را وارد نمایید *



تایید

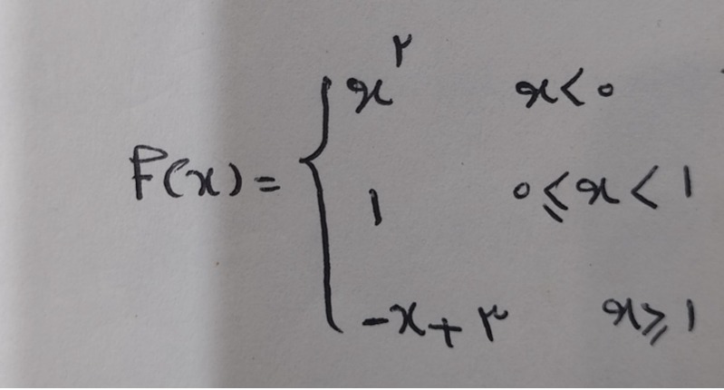
مقدار ((1_) f(f با توجه با تابع زیر کدام است (1 نمره)
دریافت سوال 12



تایید

اگر f تابع باشد مقدار a_b کدام است (1 نمره)
دریافت سوال 19



تایید

در تابع خطی f  داریم: f(1)=5 و f(-1)=3 . نمایش جبری این تابع کدام است (1 نمره)



تایید

 مقدار ( 2)f با توجه به تابع زیر کدام است (1 نمره)
دریافت سوال 16



تایید

رابطه ای که یک عدد را به ریشه دوم آن نسبت می دهد یک تابع است (1 نمره)



تایید

حاصل (1 )f(_3)+f را با توجه به تابع زیر کدام است (1 نمره)
دریافت سوال 10



تایید

تابع f(x)=x2-2x را در نظر بگیرید مقدار f(f(1)) کدام است

  (1 نمره)



تایید

رابطه ای که به هر فرد روز تولدش را نسبت می دهد یک تابع است (1 نمره)



تایید

اگر f تابع باشد، مقدار a+b کدام است (1 نمره)
دریافت سوال 18



تایید

مقدار x,y را در تابع زیر بیابید (1 نمره)
دریافت سوال 7



تایید