زیرساخت پایدار برگزاری آزمون آنلاین
www.digiform.ir

آزمون آغازین دهم تجربی «دبیرستان رشد» به صورت دیجی فرم

عرض سلام و ادب . با ارزوی سلامتی برای همه ی شما دانش آموزان عزیز...آزمون شنبه تاریخ: ۹۹/۷/۵ ساعت ۱۷ فعال می شود. مدت زمان آزمون شما ۹۰ دقیقه می باشد. این آزمون جهت آشنایی بیشتر دبیرستان رشد با سطح علمی شماست. ابتدا مشخصات خود را وارد کنید و با دقت سوالات را بخوانید و پاسخ دهید. تعداد سوالات ازمون ۵۹ تا می باشد . شامل دروس( دین و زندگی - ادبیات- زبان انگلیسی- علوم- ریاضی - فیزیک ) است . موفق باشید.

digiform

استفاده از اپلیکیشن ها و پیامرسان ها، پاسخ به تماس ها و استفاده از کلید های پایین موبایل مجاز نیست

زمان تکمیل این آزمون 90 دقیقه میباشد



تایید و ادامه
نام و نام خانوادگی خود را وارد نمایید *



تایید

کد ملی خود را وارد نمایید *



تایید

شماره کلاس خود را وارد نمایید *



تایید

دین و زندگی حمد " و " تسبیح " خداوند به ترتیب به چه معناست ؟ "



تایید

مشوّق و محرّک ما برای رفتن به سوی عمل چه عاملی می باشد ؟



تایید

کدامیک از ویژگی های مهم پیامبران محسوب می شود ؟



تایید

کدام جمله نادرست است ؟



تایید

به رهبری و هدایت مردم جامعه توسط فقیه جامع الشرایط ..........گفته می شود .



تایید

وضوگرفتن در کدام مورد واجب نیست ؟



تایید

کدام مورد از مُبطلات ( باطل کننده ) نماز می باشد ؟



تایید

کدام گزینه از موارد میانه روی در دوستی می باشد ؟



تایید

انفاق های مستحب در کدام گزینه آمده است ؟



تایید

کلمه ی " جهاد " در زبان عربی به چه معناست ؟



تایید

شیمی در ظرف حاوی..................، کوچکترین ذرات سازنده ای که خاصیت آن را دارد به شکل.................. دیده می شود و در................، کوچکترین ذرات سازنده ، اتم ها هستند که خاصیت آن را .................. . الف) آب ، اتمی، آهن ، ندارد ب ) متان، مولکولی ، طلا ، دارند ج)کلر ، مولکولی ، گوگرد ، دارند د)گوگرد ،اتمی، مس ،ندارند



تایید

یکی از بازیکنان تیم ملی فوتبال در تمرینات خود دچار آسیب دیدگی در ناحیه پا شد . علاوه بر شکسته شدن استخوان پا ، ماهیچه ساق پای او نیز دچار پارگی شد . شما به عنوان متخصص تغذیه بازیکنان‌تیم ، مصرف چه موادی رو توصیه می کنید تا مراحل درمان وی تسریع یابد ؟ الف) پروتئین -کلسیم -ویتامین k ب) آهن- ویتامین َA - چربی ج) آهن- ویتامین B -پروتئین د) کلسیم - پروتئین -ویتامین D



تایید

کدام گزینه ، محل قرارگیری و ویژگیهای کارکردی دریچه های سینی درقلب را به درستی توصیف می کند ؟ الف) دریچه های سینی، بین دهلیز ها و بطن ها قرار دارد دارند و فقط در مرحله انقباض بطن ها بسته می شوند. ب) دریچه های سینی، بین بطنها و سرخرگ ها قرار دارند و باید در مرحله استراحت عمومی و انقباض دهلیز ها بسته باشند. ج) دریچه های سینی ، بین بطنها و سرخرگ ها قرار دارند و باید در مرحله انقباض بطن ها بسته باشند. د) دریچه های سینی ،بین بطن ها و سرخرگ ها قرار دارند و فقط در مرحله استراحت عمومی بسته می شوند .



تایید

کدام گزینه ، تعریف درستی از سیناپس است؟ الف) محل ارتباط پایانه آکسون با در دندریت نورون بعدی ب) محل ارتباط دو سلول با یکدیگر ج) محل ارتباط نورون ها د) محل ارتباط یک نورون با سلول بعدی



تایید

در صورت بروز سکته مغزی در لوب گیجگاهی کدام یک از اعمال زیر دچار اختلال می شود ؟ الف) اعمال بینایی ب) تنظیم ضربان قلب ج) اعمال شنوایی د) عملکرد تنفس



تایید

کدام غده ، علاوه بر ترشح هورمون ، نقش های دیگری نیز دارد ؟ الف) فوق کلیه ب) بیضه ج) تیروئید د) هیپوفیز



تایید

در کدام گیاه زیر ، مواد مغذی در ریشه ذخیره نشده است ؟ الف) سیب زمینی ب) هویج ج) ترب د) چغندر



تایید

کبالت کلرید برای تشخیص کدام ماده به کار می رود ؟ الف) اکسیژن ب) بخار آب ج) نیتروژن د) کربن دی اکسید



تایید

کدام مورد در مورد پرندگان درست نیست ؟ الف) چینه دان ، بخش بزرگ شده مری پرنده است . ب)غذا ، ابتدا به سنگدان ، سپس به چینه دان راه پیدا میکند . ج) سنگ ریزه‌ها ، نقش اصلی را در آسیاب کردن و خردکردن غذاهای پرنده دارند . د) چینه دان ، محل موقت ذخیره غذایی خرد شده است.



تایید

از تولید کننده به سوی آخرین مصرف کننده ، تعداد ، جثه و میزان انرژی تلف شده ، به ترتیب تغییری می کند ؟ الف) کاهش _ افزایش_ کاهش ب) کاهش _ کاهش _ افزایش ج) افزایش _ افزایش _ کاهش د) کاهش_ افزایش _ افزایش



تایید

دریافت سوال 21



تایید

دریافت سوال 22



تایید

دریافت سوال 23



تایید

دریافت سوال 24



تایید

دریافت سوال 25



تایید

دریافت سوال 26



تایید

دریافت سوال 27



تایید

دریافت سوال 28



تایید

دریافت سوال 29



تایید

دریافت سوال 30



تایید

زبان انگلیسی
دریافت سوال 31



تایید

دریافت سوال 32



تایید

دریافت سوال 33



تایید

دریافت سوال 34



تایید

دریافت سوال 35



تایید

دریافت سوال 36



تایید

دریافت سوال 37



تایید

دریافت سوال 38



تایید

دریافت سوال 39



تایید

دریافت سوال 40



تایید

ریاضی
دریافت سوال 41



تایید

دریافت سوال 42



تایید

دریافت سوال 43



تایید

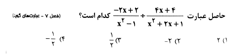
دریافت سوال 44



تایید

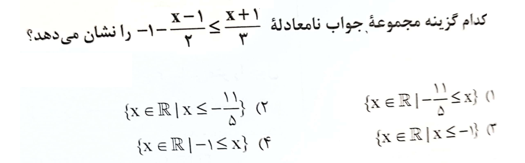
دریافت سوال 45



تایید

دریافت سوال 46



تایید

دریافت سوال 47



تایید

فیزیک
دریافت سوال 48



تایید

دریافت سوال 49



تایید

دریافت سوال 50



تایید

دریافت سوال 51



تایید

دریافت سوال 52



تایید

دریافت سوال 53



تایید

دریافت سوال 54



تایید

دریافت سوال 55



تایید

دریافت سوال 56



تایید

دریافت سوال 57



تایید