زیرساخت پایدار برگزاری آزمون آنلاین
www.digiform.ir

آزمون دامنه به صورت دیجی فرم

با توکل به خدای بزرگ پاسخ دهید

digiform

استفاده از اپلیکیشن ها و پیامرسان ها، پاسخ به تماس ها و استفاده از کلید های پایین موبایل مجاز نیست

زمان تکمیل این آزمون 18 دقیقه میباشد



تایید و ادامه
نام و نام خانوادگی خود را وارد نمایید *



تایید

شماره دانشجویی خود را وارد نمایید *



تایید

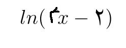
دامنه تابع زیر را بیابید
دریافت سوال 1



تایید

دامنه تابع را بیابید
دریافت سوال 9



تایید

دامنه تابع را بیابید.
دریافت سوال 8



تایید