زیرساخت پایدار برگزاری آزمون آنلاین
www.digiform.ir

آزمون شیمی دهم به صورت دیجی فرم

آزمون درساعت11:15فعال میشود

digiform

استفاده از اپلیکیشن ها و پیامرسان ها، پاسخ به تماس ها و استفاده از کلید های پایین موبایل مجاز نیست

زمان تکمیل این آزمون 20 دقیقه میباشد



تایید و ادامه
نام و نام خانوادگی خود را وارد نمایید *



تایید

کد ملی خود را وارد نمایید *



تایید

کدام عبارت درست است؟ (1 نمره)



تایید

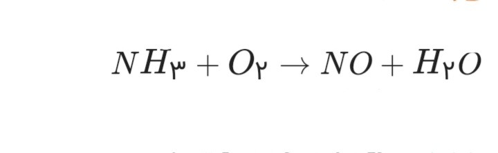
تفاوت ضریب واکنش دهنده هاوفراورده هادرمعادله زیرکدام است؟معادله موازنه شود

(1 نمره)
دریافت سوال 4



تایید

کدام عبارت صحیح نیست؟ (1 نمره)



تایید

درسوختن ناقص یک هیدروکربن شعله حاصل به رنگ ......و.......محصول متمایزاین واکنش نسبت به سوختن کامل است (1 نمره)



تایید

کدام موردردپای سنگین تری روی کره زمین می گذارد؟ (1 نمره)



تایید

پلاستیک های سبزوسوخت های سبزچه نقطه اشتراکی دارند؟ (1 نمره)



تایید

معادله راموازنه کرده وگزینه صحیح راانتخاب کنید (1 نمره)
دریافت سوال 8



تایید

کدام گزینه کاربردگازنیتروژن درصنعت می باشد؟ (1 نمره)



تایید

تعداداتم های گوگرددی کلریدازتعداداتم های کدام ترکیب بیشتراست؟ (1 نمره)



تایید

کدام یک جزوفراورده های زغال سنگ نیست؟ (1 نمره)



تایید