زیرساخت پایدار برگزاری آزمون آنلاین
www.digiform.ir

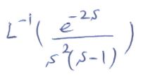
آزمون سوال 4، پایانترم، 28 دی ماه به صورت دیجی فرم

با توکل به خدای بزرگ پاسخ دهید.

digiform

استفاده از اپلیکیشن ها و پیامرسان ها، پاسخ به تماس ها و استفاده از کلید های پایین موبایل مجاز نیست

زمان تکمیل این آزمون 15 دقیقه میباشد



تایید و ادامه
نام و نام خانوادگی خود را وارد نمایید *



تایید

شماره دانشجویی خود را وارد نمایید *



تایید

دریافت سوال 9



تایید

دریافت سوال 1



تایید