زیرساخت پایدار برگزاری آزمون آنلاین
www.digiform.ir

آزمون ریاضی(تشخیصی پایه دهم) به صورت دیجی فرم

نام دبیر: خانم شاه محمدی
دبیرستان : تقوی نیا

digiform

استفاده از اپلیکیشن ها و پیامرسان ها، پاسخ به تماس ها و استفاده از کلید های پایین موبایل مجاز نیست

زمان تکمیل این آزمون 20 دقیقه میباشد

پس از پاسخ به هر سوال، امکان بازگشت و ویرایش پاسخ وجود ندارد



تایید و ادامه
نام و نام خانوادگی خود را وارد نمایید *



تایید

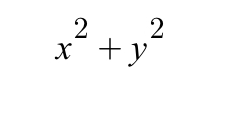
کدام عبارت درست نیست؟



تایید

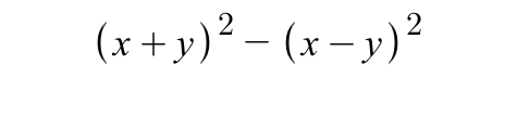
عبارت توانی زیر با کدام عبارت برابر است؟
دریافت سوال 3



تایید

اگر x-y=3 و xy=۵ باشد ، در این صورت حاصل عبارت زیر کدام است؟
دریافت سوال 4



تایید

چند تا از عبارتهای زیر صحیح است؟
دریافت سوال 6



تایید

اگر x=۲ و y=5 باشد، عبارت زیر با چه عددی برابر خواهد شد؟
دریافت سوال 5



تایید

اگر A زیر مجموعه B باشد ، حاصل عبارت زیر کدام است؟
دریافت سوال 7



تایید

حاصل عبارت زیر کدام است؟
دریافت سوال 1



تایید

محيط مثلث قائم الزاويه به اضلاع ٣ و ٤ كدام است؟



تایید

دو تاس را همزمان پرتاب مي كنيم، احتمال اينكه حاصل ضرب اعداد رو شده بزرگتر از ٢٠ باشد، چقدر است؟
دریافت سوال 9



تایید

حاصل عبارت زیر را مشخص کنید.
دریافت سوال 2



تایید