زیرساخت پایدار برگزاری آزمون آنلاین
www.digiform.ir

آزمون ریاضی دهم تجربی به صورت دیجی فرم

با سلام ، دانش آموزان عزیز در مدت60 دقیقه به 10سوال با دقت پاسخ دهید و امکان بازگشت به سوال قبل وجود ندارد .

digiform

استفاده از اپلیکیشن ها و پیامرسان ها، پاسخ به تماس ها و استفاده از کلید های پایین موبایل مجاز نیست

زمان تکمیل این آزمون 60 دقیقه میباشد

پس از پاسخ به هر سوال، امکان بازگشت و ویرایش پاسخ وجود ندارد



مرحله بعد
نام و نام خانوادگی خود را وارد نمایید *



تایید

شماره کلاس خود را وارد نمایید *



تایید

دریافت سوال 8



تایید

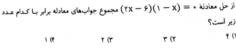
دریافت سوال 3



تایید

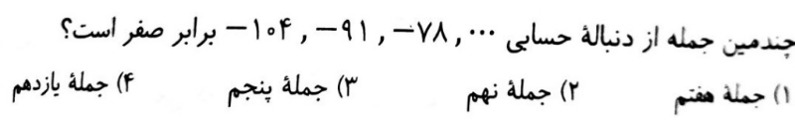
دریافت سوال 2



تایید

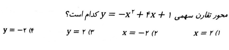
دریافت سوال 4



تایید

دریافت سوال 7



تایید

دریافت سوال 10



تایید

دریافت سوال 1



تایید

دریافت سوال 6



تایید

دریافت سوال 5



تایید

دریافت سوال 9



تایید