زیرساخت پایدار برگزاری آزمون آنلاین
www.digiform.ir

آزمون فصل 5 نهم امام حسن عسکری(ع) به صورت دیجی فرم

به نام خدا
لطفاً با دقت به سوالات پاسخ دهید 
زمان پاسخگویی 35 دقیقه است.

digiform

استفاده از اپلیکیشن ها و پیامرسان ها، پاسخ به تماس ها و استفاده از کلید های پایین موبایل مجاز نیست

زمان تکمیل این آزمون 35 دقیقه میباشد

پس از پاسخ به هر سوال، امکان بازگشت و ویرایش پاسخ وجود ندارد



مرحله بعد
نام و نام خانوادگی ونام پدرخود را وارد نمایید *



تایید

(1 نمره)
دریافت سوال 6



تایید

(1 نمره)
دریافت سوال 1



تایید

(1 نمره)
دریافت سوال 10



تایید

(1 نمره)
دریافت سوال 3



تایید

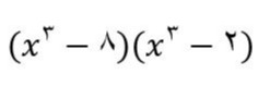
تجزیه عبارت زیر کدام است؟ (1 نمره)
دریافت سوال 13



تایید

(1 نمره)
دریافت سوال 5



تایید

(1 نمره)
دریافت سوال 4



تایید

(1 نمره)
دریافت سوال 7



تایید

(1 نمره)
دریافت سوال 2



تایید

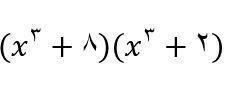
حاصل عبارت زیر کدام است؟ (1 نمره)
دریافت سوال 14



تایید