زیرساخت پایدار برگزاری آزمون آنلاین
www.digiform.ir

آزمون ریاضی دوازدهم فنی - پودمان 5 - هنرستان میرجلیلی به صورت دیجی فرم

به نام خدا

digiform

استفاده از اپلیکیشن ها و پیامرسان ها، پاسخ به تماس ها و استفاده از کلید های پایین موبایل مجاز نیست

زمان تکمیل این آزمون 35 دقیقه میباشد

پس از پاسخ به هر سوال، امکان بازگشت و ویرایش پاسخ وجود ندارد



مرحله بعد
نام و نام خانوادگی خود را وارد نمایید *



تایید

نام پدر خود را وارد نمایید *



تایید

(1 نمره)
دریافت سوال 1



تایید

(1 نمره)
دریافت سوال 2



تایید

(1 نمره)
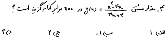
دریافت سوال 3



تایید

(1 نمره)
دریافت سوال 4



تایید

(1 نمره)
دریافت سوال 5



تایید

(1 نمره)
دریافت سوال 6



تایید

(1 نمره)
دریافت سوال 7



تایید

(1 نمره)
دریافت سوال 8



تایید

(1 نمره)
دریافت سوال 9



تایید

(1 نمره)
دریافت سوال 10



تایید

(1 نمره)
دریافت سوال 11



تایید

(1 نمره)
دریافت سوال 12



تایید