زیرساخت پایدار برگزاری آزمون آنلاین
www.digiform.ir

آزمون Esfand1400-9 به صورت دیجی فرم

باتوجه به اینکه  ازقبل میدانستید آزمون به صورت لینک می باشد با آرامش و دقت سوالت  را جواب دهید. 

digiform

استفاده از اپلیکیشن ها و پیامرسان ها، پاسخ به تماس ها و استفاده از کلید های پایین موبایل مجاز نیست

زمان تکمیل این آزمون 90 دقیقه میباشد

پس از پاسخ به هر سوال، امکان بازگشت و ویرایش پاسخ وجود ندارد



مرحله بعد
نام و نام خانوادگی خود را وارد نمایید *



تایید

شماره کلاس خود را وارد نمایید *



تایید

نام پدر خود را وارد نمایید *



تایید

نام معلم خود را وارد نمایید *



تایید

دریافت سوال 17



تایید

حاصل در کدام‌گزینه می باشد؟
دریافت سوال 31



تایید

دریافت سوال 4



تایید

چساده کنید.جواب کدام‌گزینه است؟
دریافت سوال 3



تایید

دریافت سوال 16



تایید

دریافت سوال 14



تایید

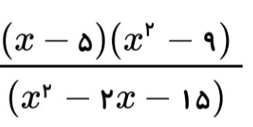
بعداز تجزیه عبارت زیر کدام جملات در اتحادش ظاهر میشود؟
دریافت سوال 1



تایید

دریافت سوال 21



تایید

دریافت سوال 12



تایید

حاصل  درکدام گزینه است؟
دریافت سوال 29



تایید

به ترتیب درستی و نادرستی جملات را تعیین کنید
دریافت سوال 11



تایید

دریافت سوال 19



تایید

دریافت سوال 5



تایید

دریافت سوال 26



تایید

دریافت سوال 18



تایید

دریافت سوال 27



تایید

درستی و نادرستی تعیین کنید
دریافت سوال 20



تایید

جواب نامعادله رو به صورت اعشاری بدست آورید.
دریافت سوال 9



تایید

دریافت سوال 8



تایید

درستی و نادرستی تعیین کنید
دریافت سوال 7



تایید