زیرساخت پایدار برگزاری آزمون آنلاین
www.digiform.ir

آزمون ریاضی 2-یازدهم تجربی-خرداد ماه 1400 به صورت دیجی فرم

دانش آموزان گرامی توجه کنید:
در هنگام آزمون از لینک خارج نشوید.
فقط یک بار میتوانید وارد لینک شوید و آزمون دهید.
تعداد سوالات:17
زمان پاسخگویی:60 دقیقه


digiform

استفاده از اپلیکیشن ها و پیامرسان ها، پاسخ به تماس ها و استفاده از کلید های پایین موبایل مجاز نیست

زمان تکمیل این آزمون 60 دقیقه میباشد



تایید و ادامه
نام و نام خانوادگی خود را وارد نمایید *



تایید

نام پدر خود را وارد نمایید *



تایید

نام مدرسه خود را وارد نمایید *



تایید

(1 نمره)
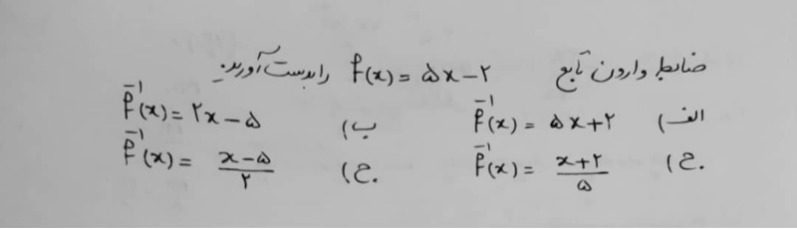
دریافت سوال 9



تایید

(1 نمره)
دریافت سوال 8



تایید

(1 نمره)
دریافت سوال 15



تایید

(1 نمره)
دریافت سوال 4



تایید

(1 نمره)
دریافت سوال 23



تایید

(1 نمره)
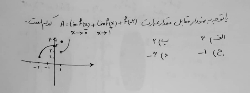
دریافت سوال 2



تایید

(1 نمره)
دریافت سوال 16



تایید

(1 نمره)
دریافت سوال 10



تایید

(1 نمره)
دریافت سوال 17



تایید

(1 نمره)
دریافت سوال 19



تایید

(1 نمره)
دریافت سوال 3



تایید

(1 نمره)
دریافت سوال 21



تایید

(1 نمره)
دریافت سوال 11



تایید

(1 نمره)
دریافت سوال 6



تایید

(1 نمره)
دریافت سوال 22



تایید

(1 نمره)
دریافت سوال 18



تایید

(1 نمره)
دریافت سوال 14



تایید