زیرساخت پایدار برگزاری آزمون آنلاین
www.digiform.ir

آزمون ازمون فصل یک به صورت دیجی فرم

ازمون شامل 10 سوال تستی است.برای هر سوال گزینه مناسب را انتخاب کنید.در حین پاسگویی خارج نشوید امکان باز گشت نیست

digiform

استفاده از اپلیکیشن ها و پیامرسان ها، پاسخ به تماس ها و استفاده از کلید های پایین موبایل مجاز نیست

زمان تکمیل این آزمون 40 دقیقه میباشد



تایید و ادامه
نام و نام خانوادگی خود را وارد نمایید سیده فاطمه عزیزالدینی *



تایید

کدام زاویه مکمل زاویه 125 درجه ایت؟



تایید

اگر 20 نقطه داشته باشیم .چند پاره خط از این نقاط می تواند بگذرد؟



تایید

محمد روزی 5000 تومان پس انداز می کند.اگر بعد از 5 روز نصف پول مورد نیاز برای خرید کتاب را جورکند پول کتاب چند بوده ؟



تایید

2) با توجه به الگوی عددی زیر عدد 63 چندمین عدد الگو است؟ .....,9,15,21,2



تایید

مجموع دو جمله قبلی و سه جمله بعدی این الگوی عددی کدام است؟ ,......,......,.......,7,10,13,.....,.....



تایید

در الگوی هندسی زیر در شکل هشتم چند دایره داریم؟
دریافت سوال 3



تایید

در دایره کدام گزینه مناسب است؟ 230= 50 + ?×18



تایید

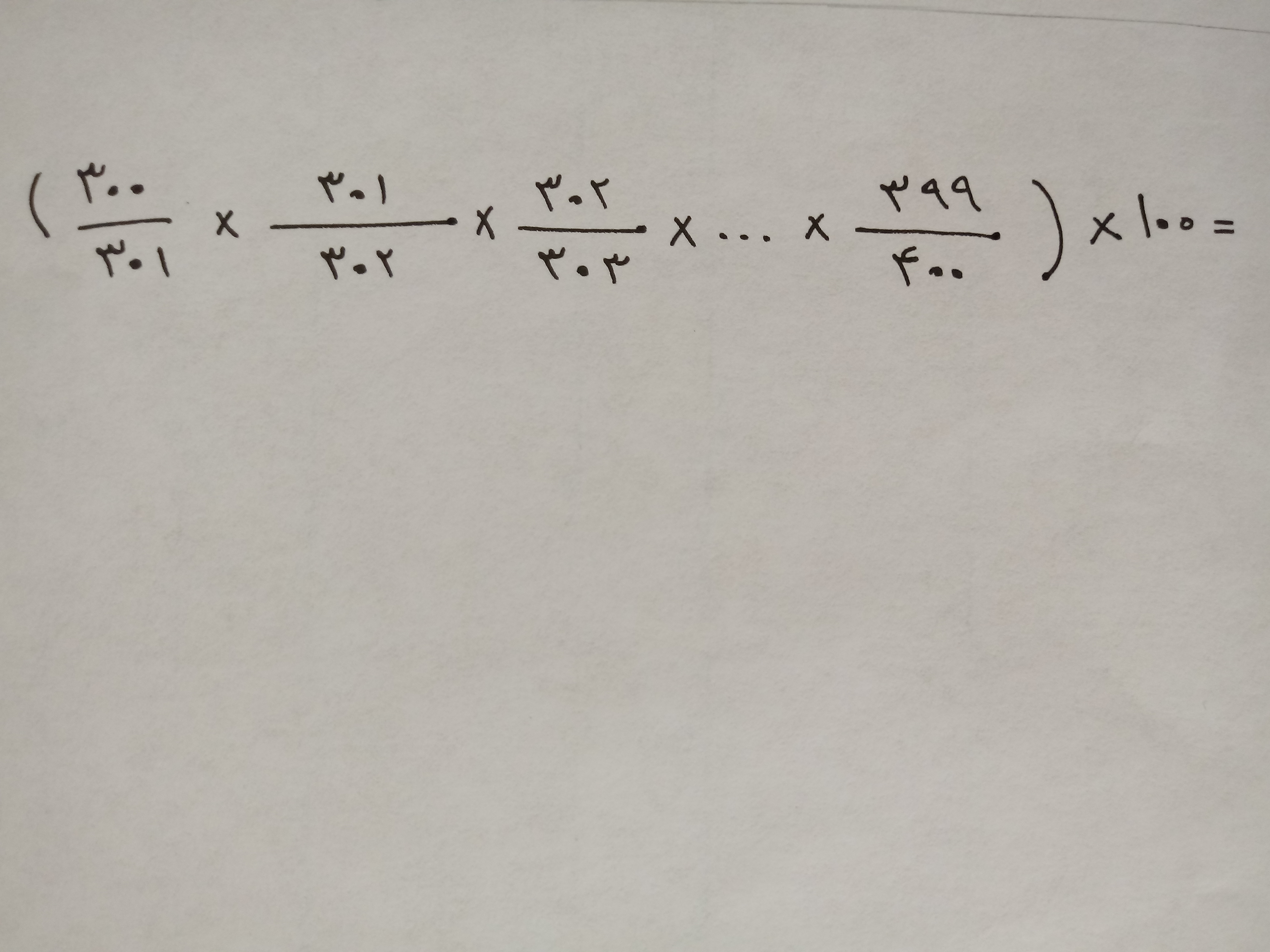
حاصل این عبارت کدام است؟
دریافت سوال 6



تایید

1)کدام دنباله عددی اعداد طبیعی را نشان می دهد؟



تایید

حلزونی می خواهد از دیوار 11 متری بالا برود.اگر او هر روز 3متر بالا برود و یک متر به پایین سر بخورد این حلزون پس از چند روز. به بالای دیوار می رسد؟



تایید