زیرساخت پایدار برگزاری آزمون آنلاین
www.digiform.ir

آزمون فصل اول ریاضی نهم 902 به صورت دیجی فرم

دانش آموزان عزیز با دقت به سوالات پاسخ دهید و راه حل به طور کامل نوشته شود.

digiform

استفاده از اپلیکیشن ها و پیامرسان ها، پاسخ به تماس ها و استفاده از کلید های پایین موبایل مجاز نیست

زمان تکمیل این آزمون 50 دقیقه میباشد



تایید و ادامه
نام و نام خانوادگی خود را وارد نمایید *



تایید

شماره کلاس خود را وارد نمایید *



تایید

شماره کلاس خود را وارد نمایید *



تایید

به سوال اول با دقت و مرتب پاسخ دهید.
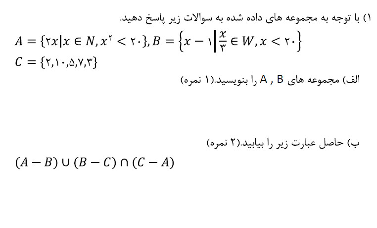
دریافت سوال 1



تایید

دریافت سوال 2



تایید

دریافت سوال 3



تایید

دریافت سوال 4



تایید

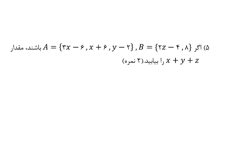
دریافت سوال 5



تایید

دریافت سوال 6



تایید