زیرساخت پایدار برگزاری آزمون آنلاین
www.digiform.ir

آزمون دوازدهم تجربی، آزمون۱ به صورت دیجی فرم

آزمون ۱ شنبه ۹۹/۶/۲۲ دبیرستان دوره دوم نرگس

digiform

استفاده از اپلیکیشن ها و پیامرسان ها، پاسخ به تماس ها و استفاده از کلید های پایین موبایل مجاز نیست

زمان تکمیل این آزمون 80 دقیقه میباشد



تایید و ادامه
نام و نام خانوادگی خود را وارد نمایید *



تایید

معنی کلمات زیر را بنویسید. الف) سنا : ب) تقصیر: ج) ثنا : د)وظیفه :



تایید

منظور از (( لب و دندان سنایی همه توحید تو گوید )) چیست ؟



تایید

معنی عبارت را بنویسید و آرایه را مشخص کنید . پرده ناموس بندگان به گناه فاحش ندرد و وظیفه ی روزی به خطای منکر نبرد



تایید

How often one hears children wishing they were grown up, and old people wishing they were young again. Each age has its pleasures and its pains, and the happiest person is the one who enjoys what each age gives him properly. Childhood is a time when there are few responsibilities to make life difficult. A child finds pleasure in playing in the rain, or in the snow. But a child has his pain: he is not so free to do as he wishes as he thinks older people are. When the young man starts to earn his own living, he becomes free from the discipline of school and parents. If he breaks the laws of society as he used to break the laws of his parents, he may go to prison. If, however, he works hard, keeps out of trouble, he can have the great happiness of seeing himself make steady progress in his job and of building up for himself his own position in society. With old age should come wisdom and the ability to help others with advice wisely given. They can watch their children and their grandchildren growing up around them. They feel the happiness of having come through the battle of life safely and of having reached a time when they can lie back and rest, leaving others to continue the fight الف ) .Children are very happy because they are free to do whatever they wish a. True b. False ب) . Each age has not only its pleasures but also its difficulties a. True b. False ج) . ................ According to the passage, the happiest person is the one who a. enjoys the time of his childhood b. gets the most advantage of his age c. starts to earn his own living d. keeps out of trouble all through his life د) . ................ According to the passage, young people a. wish they were children b. do not like the jobs their parents have c. find pleasure in playing games d. become free from the childhood discipline after finding a job ه ) . ............... The passage says that old people can usually help others by a. looking after themselves b. not being dependent on them financially c. giving them good advice d. not asking young people to follow their way of life و) . ............... According to the passage a. old people can never reach happiness in life b. children have more responsibilities than others c. a young person can never have a great happiness in life d. if someone breaks the law of the society, he may go to prison



تایید

با توجه به متن پاسخ دهید . (تصویر زیر ) الف) سه فعل ثلاتی مزید ودو فعل ثلاثی مجرد از متن پیدا کرده وتحلیل کنید .برای تحلیل به این موارد اشاره کنید ( ماضی ، مضارع ، ثلاثی مزید یا مجرد ، نام باب ، صیغه فعل ) ب) دواسم مثنی از متن بیابید و یک فعل مضارع التزامی بنویسید . ج) نقش کلمات را براساس قواعدی که تا به حال خوانده اید مشخص کنید .
دریافت سوال 5



تایید

تقلید در احکام به چه معناست و مرجع تقلید باید کدام شرایط را داشته باشد ؟



تایید

کدام مسائل زمینه رابرای جعل و تحریف احادیث پیامبر اکرم ص آماده کرد ؟



تایید

امام حسین ع در زمان معاویه کدام روش را پیش گرفت ؟



تایید

سه مورداز تفاوت های یک پاک کننده صابونی با یک پاک کننده غیر صابونی را ذکر کنید .



تایید

دوبشر شامل یک محلول ویک کلویید در اختیار داریم .با بیان دو آزمایش طریقه تشخیص این دو را بیان کنید .



تایید

جرم مولی صابون جامد به دست آمده از کربوکلیک اسیدی که R آن شامل 14 اتم کربن است برابر با چند گرم است ؟ H=1 ، O=16 ، N=14 ، k=39 ، Na=23 ، C =12



تایید

در آزمایش گریفیت کدام باکتری مورد آزمایش قرار گرفت؟



تایید

جنس کپسول را بنویسید.



تایید

نتیجه آزمایش شماره ۳ گریفیت را بنویسید.



تایید

نتیجه آزمایش ایوری را بنویسید.



تایید

باز آلی یوراسیل دارای چند حلقه در ساختار خود می باشد؟



تایید

قند موجود در رنا چه نام دارد؟



تایید

چند نوع نوکلئوتید با باز آلی پورینی در سلول قابل تصور است؟



تایید

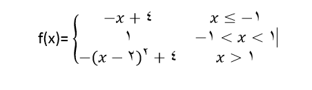
الف ) نمودار تابع زیر را رسم کنید . ب ) دامنه وبرد تابع را مشخص کنید .
دریافت سوال 19



تایید