زیرساخت پایدار برگزاری آزمون آنلاین
www.digiform.ir

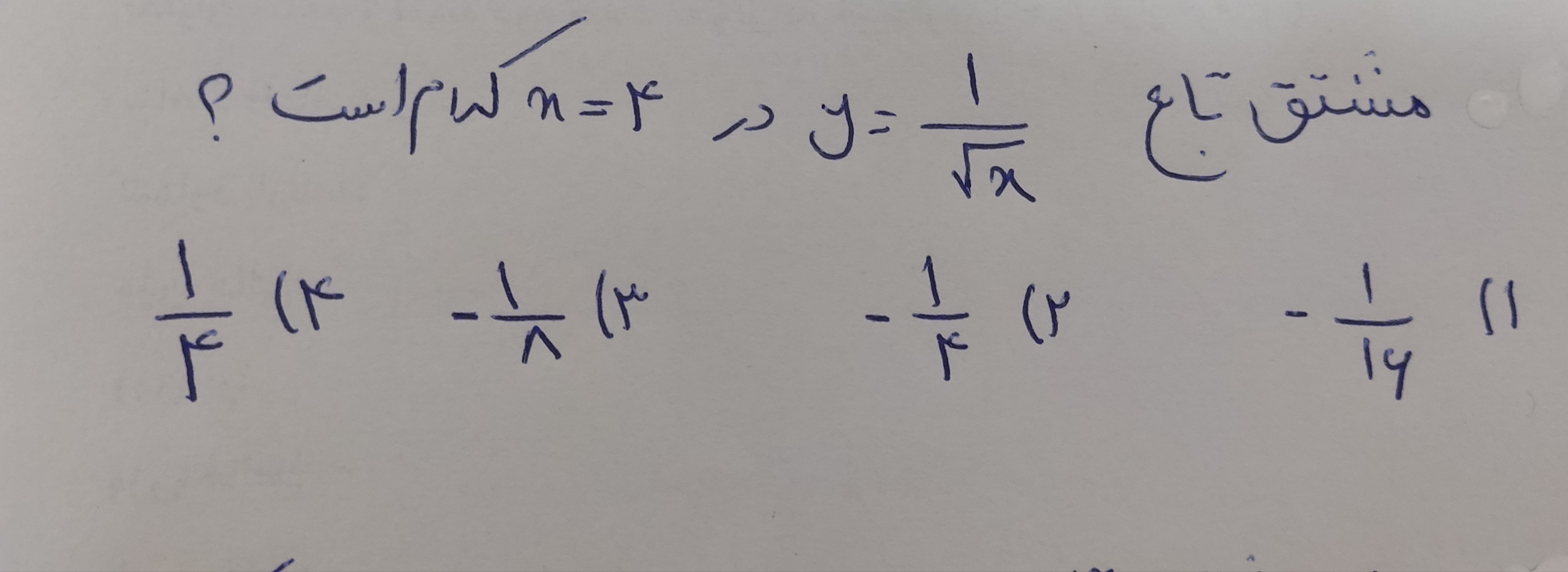
آزمون مشتق به صورت دیجی فرم

دوازدهم های تجربی گلستان و شاهد 

digiform

استفاده از اپلیکیشن ها و پیامرسان ها، پاسخ به تماس ها و استفاده از کلید های پایین موبایل مجاز نیست

زمان تکمیل این آزمون 50 دقیقه میباشد



مرحله بعد
نام و نام خانوادگی خود را وارد نمایید *



تایید

کد ملی خود را وارد نمایید *



تایید

(1 نمره)
دریافت سوال 19



تایید

(1 نمره)
دریافت سوال 9



تایید

(1 نمره)
دریافت سوال 10



تایید

(1 نمره)
دریافت سوال 6



تایید

(1 نمره)
دریافت سوال 3



تایید

(1 نمره)
دریافت سوال 17



تایید

(1 نمره)
دریافت سوال 18



تایید

(1 نمره)
دریافت سوال 14



تایید

(1 نمره)
دریافت سوال 7



تایید

(1 نمره)
دریافت سوال 12



تایید