زیرساخت پایدار برگزاری آزمون آنلاین
www.digiform.ir

آزمون آغازین درس ریاضی پایه هشتم(حاج کاظم محمدنیا) به صورت دیجی فرم

لطفا مشخصات خواسته شده را با دقت وارد نمایید. هر دانش آموز فقط یکبار می تواند در آزمون شرکت کند. سوالات بصورت تصادفی نمایش داده می شوند. سوالات یکبار نمایش داده می شوند ، توجه کنید پس از نمایش هر سوال جواب آن را علامت بزنید (امکان بازگشت به سوالات قبلی وجود ندارد). ارزش هر سوال ، یک نمره است. آزمون 20 نمره ای می باشد. حتما در انتهای آزمون گزینه ثبت نهایی را بزنید.

digiform

استفاده از اپلیکیشن ها و پیامرسان ها، پاسخ به تماس ها و استفاده از کلید های پایین موبایل مجاز نیست

زمان تکمیل این آزمون 30 دقیقه میباشد

پس از پاسخ به هر سوال، امکان بازگشت و ویرایش پاسخ وجود ندارد



تایید و ادامه
نام و نام خانوادگی خود را وارد نمایید *



تایید

حوضی است به شکل مکعب مستطیل که ابعاد آن 4 و 3 و 1/5 متر است. این حوض خالی را با شیر آبی که در هر دقیقه 60 لیتر آب وارد آن می کنیم. چند ساعت طول می کشد تا حوض پر شود؟ الف) 5 ب) 6 ج) 7 د) 8



تایید

گزینه صحیح را انتخاب کنید. اگر حاصل ضرب یک عدد طبیعی در یک عدد صحیح ، منفی شود ، آن عدد .......... است. الف) مثبت ب) منفی ج) صفر د) یک



تایید

فاطمه و مریم 36 جلد کتاب را صحافی کردند. فاطمه 6 کتاب بیشتر از مریم صحافی کرده است. فاطمه و مریم ، هر کدام به ترتیب(از راست به چپ) چند کتاب صحافی کرده اند؟ الف) 16-30 ب) 30-6 ج) 15-21 د) 21-15



تایید

گزینه مناسب را انتخاب کنید. هرگاه حاصلضرب دو عدد برابر 1 باشد ، آن دو عدد را .............. یکدیگر می نامند. همه ی اعداد به جز ............ معکوس دارند. الف) قرینه - صفر ب) معکوس - 1 ج)قرینه - 1 د) معکوس - صفر



تایید

پس انداز هفتگی محمد ، 3000 تومان است. 5 هفته پس انداز او نصف قیمت کیفی است که دوست دارد بخرد. قیمت کیف چقدر است؟ الف) 15000 ب) 30000 ج) 7500 د) 1200



تایید

حاصل عبارت زیر کدام گزینه است؟
دریافت سوال 16



تایید

در کدام راهبرد ، مسئله ی پیچیده و چند مرحله ای را به چند مسئله ی ساده تبدیل می کنیم؟ الف) الگوسازی ب) الگویابی ج) زیرمسئله د) حل مسئله ی ساده تر



تایید

توپی از ارتفاع 18 متری سطح زمین رها می شود و پس از زمین خوردن ، نصف ارتفاع قبلی خود بالا می آید. این توپ از لحظه رها شدن تا سومین مرتبه ای که به زمین می خورد چند متر حرکت کرده است؟ الف) 4/5 ب) 45 ج) 2/25 د) 33/75



تایید

کدام گزینه درست است؟ الف) چندضلعی هایی که هیچ زاویه بزرگتر از 180 درجه ندارند ، کاو نامیده می شوند. ب) به چندضلعی هایی که همه ضلع هایشان با هم مساوی است ، چندضلعی منتظم گفته می شود. ج) وقتی قرینه شکلی را نسبت به یک خط پیدا می کنیم ، تصویر به دست آمده مساوی و هم جهت با آن شکل است. د) وقتی شکلی را روی صفحه انتقال می دهیم ، تصویر به دست آمده مساوی و هم جهت شکل اولیه است.



تایید

طول ، عرض و عمق یک استخر به ترتیب 12 ، 6 و 3 متر است. می خواهند کف و دیواره های این استخر را رنگ کنند. اگر برای هر متر مربع 0/3 کیلوگرم رنگ لازم باشد ، برای رنگ کردن استخر چند کیلوگرم رنگ نیاز است؟ الف) 37/8 ب) 45 ج) 54 د) 21/6



تایید

(ب.م.م) دو عدد زیر ، کدام گزینه است؟ (108و216) الف) 4 ب) 108 ج) 8 د) 27



تایید

جواب معادله زیر کدام گزینه است؟ 2x-3x+2(x+2)=14 الف) 12 ب) 11 ج) 10 د) 9



تایید

کدام گزینه نادرست است؟ الف) (ب.م.م) دو عدد ، ضرب عوامل مشترک با کوچکترین توان است. ب) (ک.م.م) دو عدد ، ضرب عوامل مشترک با کوچکترین توان است. ج) اگر عددی بر عدد دیگر بخش پذیر باشد ، عدد بزرگتر ، (ک.م.م) دو عدد است. د) اگر دو عدد b و a اول باشند ، (ب.م.م) آنها عدد یک می شود.



تایید

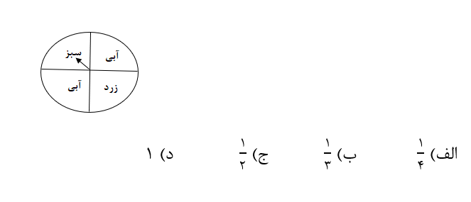
عقربه ی چرخنده ی زیر را می چرخانیم. احتمال اینکه روی سبز بایستد ، چقدر است؟
دریافت سوال 21



تایید

اگر عددی صفر نباشد ، توان دوم آن همیشه ............. است. الف) زوج ب) فرد ج) مثبت د) منفی



تایید

عددهای صحیح ، شامل چه اعدادی هستند؟ الف) مثبت ب) منفی ج) مثبت و منفی د) مثبت ، منفی و صفر



تایید

تاسی را می اندازیم. احتمال اینکه عدد رو شده زوج باشد ، .......... و احتمال اینکه عدد رو شده نه اول و نه مرکب باشد ، .......... است.
دریافت سوال 15



تایید

می خواهیم با مقوا مکعبی به ضلع 10 سانتی متر بسازیم. چند سانتی متر مربع مقوا به کار می رود؟ الف) 400 ب) 600 ج) 200 د) 800



تایید

حاصل عبارت زیر کدام است؟ و با کدام راهبرد محاسبه می شود؟
دریافت سوال 4



تایید

در حل مسئله به کمک راهبرد حل مسئله ساده تر ، از چه راهبردی استفاده می کنیم؟ الف) الگوسازی ب) الگویابی ج) زیرمسئله د) حدس و آزمایش



تایید

مختصات مورد نظر ، کدام گزینه است؟
دریافت سوال 14



تایید