زیرساخت پایدار برگزاری آزمون آنلاین
www.digiform.ir

آزمون دوازدهم ریاضی ،آزمون 2 به صورت دیجی فرم

به نام خدا آزمون ۲ شنبه ۹۹/۶/۲۹ دبیرستان دوره دوم نرگس دانش آموزان عزیز فقط یکبار می توانید وارد آزمون شوید.بهتر است موبایل خود را در حالت افقی نگه دارید.

digiform

استفاده از اپلیکیشن ها و پیامرسان ها، پاسخ به تماس ها و استفاده از کلید های پایین موبایل مجاز نیست

زمان تکمیل این آزمون 80 دقیقه میباشد



تایید و ادامه
نام و نام خانوادگی خود را وارد نمایید *



تایید

این درخواست که « لا تکلنی إلی نفسی طرفة عین ابدا » ثمره ی فهم کدام مسأله است ؟



تایید

برترین عبادت کدام است و ثمره ی آن چگونه ظاهر می شود ؟



تایید

پیامبر اکرم ص کدام مورد را برترین عبادت معرفی کرده اند ؟



تایید

اگر سؤال شود می توانیم به ذات خداوند پی ببریم ؟، پاسخ ما کدام است ؟و دلیل آن چیست ؟



تایید

مفهوم نیازمندی مخلوقات به خداوند متعال در هر آن ، در کدام بیت ،بیان شده است ؟



تایید

معنی کلمه ی(( فایق و فاسق ))کدام است؟



تایید

کدام کلمه وندی است؟



تایید

در ترکیب ((دیوار امت )) چه آرایه ای وجود دارد؟



تایید

حرف((م))در جمله ی ((دامنم از دست برفت)) چه نقشی دارد؟



تایید

Besides the principal, many other .................guests were present



تایید

.He was ………… as a dedicated teacher



تایید

Advertising on the internet hasn't ...........our sales as much as we thought it might



تایید

The rich man ...............a hospital and a school in the town where he was born



تایید

Thank you for your donation . It was very generous of you ." Generous" is closest in ......meaning to



تایید

The younger ................... doesn’t seem to be interested in politics



تایید

جسمی در جهت غرب به شرق 80 متر و سپس از این نقطه 60 متر به طرف شمال حرکت می کند. اگر کل زمان حرکت 20 ثانیه باشد، سرعت متوسط جسم در کل حرکت چند متر بر ثانیه است؟



تایید

در جابه جایی بین دو نقطه تندی متوسط به صورت 12 (Km/h )و سرعت متوسط به صورت 12 (Km/h )گزارش شده است. کدام یک از گزینه های زیر درست است؟



تایید

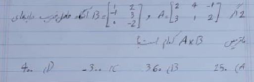
دریافت سوال 18



تایید

دریافت سوال 19



تایید

دریافت سوال 20



تایید

دریافت سوال 21



تایید

دریافت سوال 22



تایید

دریافت سوال 23



تایید

دریافت سوال 24



تایید

دریافت سوال 25



تایید

صابون نمک سدیم اسیدهای .................. است که زنجیر هیدروکربنی آن .......... و آب ................است و در حلالهای......... حل میشود



تایید

دلیل کاهش کف صابون بر اثر انحلال منیزیم کلرید در آب کدام است؟



تایید