زیرساخت پایدار برگزاری آزمون آنلاین
www.digiform.ir

آزمون آنلاین آغازین ریاضی پایه هفتم به صورت دیجی فرم

ضمن تبریک سال تحصیلی جدید، لطفا به سوالات چهار گزینه ای زیر به دقت پاسخ دهید. با تشکر گروه ریاضی متوسطه دوره اول استان کهگیلویه و بویراحمد

digiform

استفاده از اپلیکیشن ها و پیامرسان ها، پاسخ به تماس ها و استفاده از کلید های پایین موبایل مجاز نیست

زمان تکمیل این آزمون 20 دقیقه میباشد



تایید و ادامه
نام و نام خانوادگی خود را وارد نمایید *



تایید

نام مدرسه و شهرستان محل تحصیل خود را وارد نمایید *



تایید

1-ساده شده ی کسر زیر کدام است؟
دریافت سوال 1



تایید

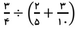
2-حاصل عبارت زیر کدام است؟
دریافت سوال 2



تایید

3-پنجاه و دو سی سی برابر با چند لیتر است؟



تایید

4-متمم زاویه ی 22/5 چند درجه است.



تایید

5-جمله ی بیستم الگوی زیر کدام است. ...و13و10و7و4



تایید

6- اعداد 4- و 2 نسبت به چه عددی قرینه هستند.



تایید

7- نقطه(8- و 2)در کدام ناحیه دستگاه مختصات قرار دارد.



تایید

8-کدام یک از چند ضلعی های زیر خط تقارن ندارد.



تایید

9- 4 کارگر کاری را در 10 روز انجام می دهند. 5 کارگر همان کار را در چند روز تمام می کنند.



تایید

10- در پرتاب یک تاس احتمال این که عدد فرد بیاید ، چند درصد است.



تایید