زیرساخت پایدار برگزاری آزمون آنلاین
www.digiform.ir

آزمون ریاضی 1 (میانترم اول) سوال 2 به صورت دیجی فرم

با توکل به خدای بزرگ پاسخ دهید.

digiform

استفاده از اپلیکیشن ها و پیامرسان ها، پاسخ به تماس ها و استفاده از کلید های پایین موبایل مجاز نیست

زمان تکمیل این آزمون 16 دقیقه میباشد



تایید و ادامه
نام و نام خانوادگی خود را وارد نمایید *



تایید

شماره دانشجویی خود را وارد نمایید *



تایید

رشته تحصیلی خود را وارد نمایید *



تایید

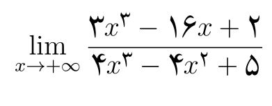
حد زیر را بیابید
دریافت سوال 11



تایید

حد زیر را بدون استفاده از هوپیتال بیابید
دریافت سوال 14



تایید