زیرساخت پایدار برگزاری آزمون آنلاین
www.digiform.ir

آزمون نوبت دوم دبیرستان حق شناس خرداد1400 به صورت دیجی فرم

گزینه ها را با دقت بررسی کنید

digiform

استفاده از اپلیکیشن ها و پیامرسان ها، پاسخ به تماس ها و استفاده از کلید های پایین موبایل مجاز نیست

زمان تکمیل این آزمون 60 دقیقه میباشد



تایید و ادامه
نام و نام خانوادگی خود را وارد نمایید *



تایید

ترتیب فراوانی عناصر در جدول دوره ای کدام است  (از راست به چپ) (1 نمره)



تایید

اولین عنصر واسطه چند پروتون دارد و در کدام گروه قرار دارد ( از راست به چپ) (1 نمره)



تایید

(1 نمره)
دریافت سوال 11



تایید

(1 نمره)
دریافت سوال 8



تایید

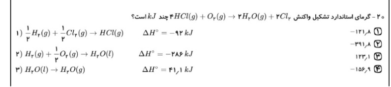
(1 نمره)
دریافت سوال 32



تایید

استخراج کدام فلز دشوارتر است؟ (1 نمره)



تایید

(1 نمره)
دریافت سوال 26



تایید

کدام عبارت زیر کاملا صحیح است (1 نمره)



تایید

(1 نمره)
دریافت سوال 6



تایید

(1 نمره)
دریافت سوال 13



تایید

(1 نمره)
دریافت سوال 28



تایید

(1 نمره)
دریافت سوال 34



تایید

(1 نمره)
دریافت سوال 20



تایید

(1 نمره)
دریافت سوال 18



تایید

(1 نمره)
دریافت سوال 9



تایید

(1 نمره)
دریافت سوال 33



تایید

کدام یک از پلیمر های زیر علاوه بر اتم های کربن و هیدروژن اتم  دیگری نیز دارند؟ (1 نمره)



تایید

(1 نمره)
دریافت سوال 37



تایید

(1 نمره)
دریافت سوال 2



تایید

(1 نمره)
دریافت سوال 36



تایید