زیرساخت پایدار برگزاری آزمون آنلاین
www.digiform.ir

آزمون فصل اول هشتم به صورت دیجی فرم

به نام خدا سوالات را با دقت پاسخ دهید

digiform

استفاده از اپلیکیشن ها و پیامرسان ها، پاسخ به تماس ها و استفاده از کلید های پایین موبایل مجاز نیست

زمان تکمیل این آزمون 20 دقیقه میباشد

پس از پاسخ به هر سوال، امکان بازگشت و ویرایش پاسخ وجود ندارد



تایید و ادامه
نام و نام خانوادگی خود را وارد نمایید *



تایید

کدام گزینه با کسر تصویر برابر است؟
دریافت سوال 5



تایید

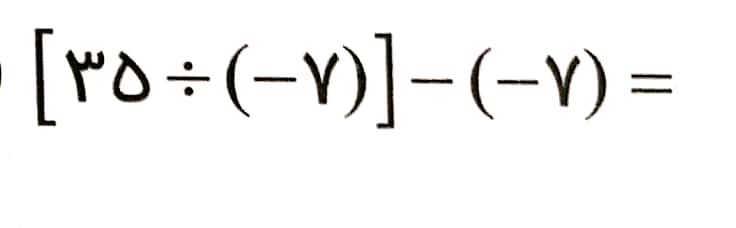
حاصل عبارت زیر را به دست آورید.
دریافت سوال 4



تایید

حاصل عبارت زیر را به دست آورید.
دریافت سوال 2



تایید

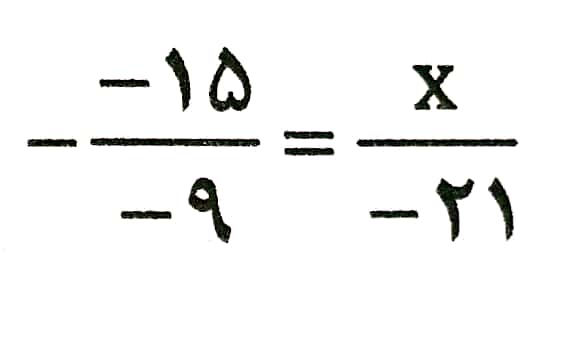
با توجه به تصویر، مقدار مجهول را به دست آورید.
دریافت سوال 1



تایید

کسر تصویر زیر را تا حد امکان ساده کنید.
دریافت سوال 3



تایید