زیرساخت پایدار برگزاری آزمون آنلاین
www.digiform.ir

آزمون ریاضی و آمار2 به صورت دیجی فرم

طراح :احمدجمالی
ازمون نوبت دوم ریاضی و آمار2 99-1400

digiform

استفاده از اپلیکیشن ها و پیامرسان ها، پاسخ به تماس ها و استفاده از کلید های پایین موبایل مجاز نیست

زمان تکمیل این آزمون 70 دقیقه میباشد



مرحله بعد
نام و نام خانوادگی خود را وارد نمایید *



تایید

اگر f تابعي هماني باشد ميانگين اعداد
x  و y  و z كدام است؟
(1.25 نمره)
دریافت سوال 17



تایید

نمودار تابع ٣+|2-x| از كدام نواحي عبور نمي كند؟ (1.25 نمره)



تایید

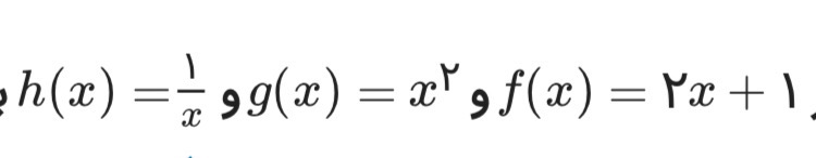
اگر f و g به صورت زير باشند حاصل
(٣-)g+(٢-)f كدام است؟
(1.25 نمره)
دریافت سوال 28



تایید

اگر.       {(f={(1,4),(5,6),(8,9
و.          {(g={(0,11),(1,8),(8,3 
مقدار f-g كدام است؟
١. {(١،٣٣)،(٨،٢٧)}.   ٢. {(٨،٣)،(١،٢)}
٣.  {(٣،٨)،(٨،٦)}.    ٤. {(٤-،١)،(٨،٦)}
(1.25 نمره)



تایید

ارزش نقيض كدام يك از گزاره هاي زير درست است؟ (1.25 نمره)



تایید

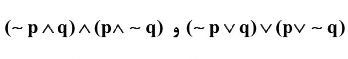
كدام يك از گزاره هاي زير هم ارزند؟ (1.25 نمره)
دریافت سوال 6



تایید

كدام گزينه درمورد استدالا زير نادرست است؟ (1.25 نمره)
دریافت سوال 12



تایید

اگر p و q دو گزاره دلخواه باشند ، در اينصورت ارزش گزاره هاي زير به ترتيب از راست به چپ كدام است؟ (1.25 نمره)
دریافت سوال 8



تایید

(1.25 نمره)
دریافت سوال 35



تایید

چه تعداد از گزاره هاي مركب زير نادرست است؟ (1.25 نمره)
دریافت سوال 7



تایید

تابع ٢-|٢+X|  از كدام ناحيه عبور نمي كند؟ (1.25 نمره)



تایید

ضابطه نمودار زير كدام گزينه است؟ (1.25 نمره)
دریافت سوال 2



تایید

باتوجه به تابع دو ضابطه اي زير مقدار
(f(2 )+f(-1
كدام است؟
(1.25 نمره)
دریافت سوال 16



تایید

اگر تابع f يك تابع ثابت باشد مقدار x كدام است؟

(1.25 نمره)
دریافت سوال 32



تایید

(1.25 نمره)
دریافت سوال 36



تایید

نماد رياضي كداميك از گزاره هاي زير درست نوشته شده است؟ (1.25 نمره)
دریافت سوال 13



تایید