زیرساخت پایدار برگزاری آزمون آنلاین
www.digiform.ir

آزمون پایان ترم دوم حسابان 1 به صورت دیجی فرم

با نام و یاد خدا شروع کنید

digiform

استفاده از اپلیکیشن ها و پیامرسان ها، پاسخ به تماس ها و استفاده از کلید های پایین موبایل مجاز نیست

زمان تکمیل این آزمون 105 دقیقه میباشد

پس از پاسخ به هر سوال، امکان بازگشت و ویرایش پاسخ وجود ندارد

در هنگام شروع آزمون دوربین فعال میشود



مرحله بعد
نام و نام خانوادگی خود را وارد نمایید *



تایید

شماره لیست خود را وارد نمایید *



تایید

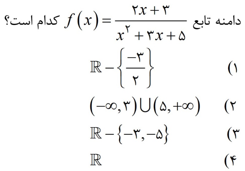
(1 نمره)
دریافت سوال 34



تایید

(1 نمره)
دریافت سوال 29



تایید

(1 نمره)
دریافت سوال 33



تایید

(1 نمره)
دریافت سوال 19



تایید

بین دو عدد 5 و 135 دو عدد چنان قرار دهید که هر چهار عدد کنار هم تشکیل دنباله هندسی بدهد. قدر نسبت این دنباله هندسی کدام است؟ (1 نمره)



تایید

(1 نمره)
دریافت سوال 32



تایید

(1 نمره)
دریافت سوال 61



تایید

درستی یا نادرستی جمله زیر را مشخص کنید: (1 نمره)
دریافت سوال 20



تایید

مشخص کنید کدام یک از توابع زیر یک به یک است؟ (1 نمره)
دریافت سوال 13



تایید

(1 نمره)
دریافت سوال 43



تایید

شرط اینکه دو خط موازی باشند این است که ................. . (1 نمره)
دریافت سوال 24



تایید

جملات پنجم و پانزدهم یک دنباله حسابی به ترتیب برابر 45 و 85 است. جمله بیست و یکم این دنباله کدام است؟ (1 نمره)



تایید

(1 نمره)
دریافت سوال 59



تایید

(1 نمره)
دریافت سوال 26



تایید

درستی یا نادرستی عبارات زیر را مشخص کنید. (1 نمره)
دریافت سوال 42



تایید

(1 نمره)
دریافت سوال 12



تایید

(1 نمره)
دریافت سوال 50



تایید

کدام یک از روابط زیر صحیح نیست؟ (1 نمره)
دریافت سوال 40



تایید

(1 نمره)
دریافت سوال 27



تایید

(1 نمره)
دریافت سوال 63



تایید