زیرساخت پایدار برگزاری آزمون آنلاین
www.digiform.ir

آزمون ازمون جبرانی به صورت دیجی فرم

digiform

استفاده از اپلیکیشن ها و پیامرسان ها، پاسخ به تماس ها و استفاده از کلید های پایین موبایل مجاز نیست

زمان تکمیل این آزمون 60 دقیقه میباشد



تایید و ادامه
نام و نام خانوادگی خود را وارد نمایید *



تایید

(1 نمره)
دریافت سوال 30



تایید

(1 نمره)
دریافت سوال 4



تایید

(1 نمره)
دریافت سوال 16



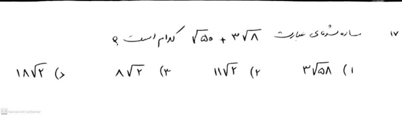
تایید

(1 نمره)
دریافت سوال 14



تایید

(1 نمره)
دریافت سوال 8



تایید

(1 نمره)
دریافت سوال 5



تایید

(1 نمره)
دریافت سوال 21



تایید

(1 نمره)
دریافت سوال 19



تایید

(1 نمره)
دریافت سوال 26



تایید

(1 نمره)
دریافت سوال 1



تایید

(1 نمره)
دریافت سوال 12



تایید

(1 نمره)
دریافت سوال 23



تایید

(1 نمره)
دریافت سوال 22



تایید

(1 نمره)
دریافت سوال 20



تایید

(1 نمره)
دریافت سوال 6



تایید

(1 نمره)
دریافت سوال 31



تایید

(1 نمره)
دریافت سوال 7



تایید

(1 نمره)
دریافت سوال 13



تایید

(1 نمره)
دریافت سوال 11



تایید

(1 نمره)
دریافت سوال 29



تایید

(1 نمره)
دریافت سوال 28



تایید

(1 نمره)
دریافت سوال 15



تایید

(1 نمره)
دریافت سوال 2



تایید