زیرساخت پایدار برگزاری آزمون آنلاین
www.digiform.ir

آزمون آغازین ریاضیات سال دهم به صورت دیجی فرم

این آزمون مشتمل بر 10 سوال وبه صورت چهارگزینه ای می باشد .این آزمون دارای نمره منفی نمی باشد .

digiform

استفاده از اپلیکیشن ها و پیامرسان ها، پاسخ به تماس ها و استفاده از کلید های پایین موبایل مجاز نیست

زمان تکمیل این آزمون 15 دقیقه میباشد

پس از پاسخ به هر سوال، امکان بازگشت و ویرایش پاسخ وجود ندارد



تایید و ادامه
نام و نام خانوادگی خود را وارد نمایید *



تایید

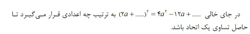
دریافت سوال 7



تایید

دریافت سوال 1



تایید

دریافت سوال 2



تایید

دریافت سوال 9



تایید

دریافت سوال 4



تایید

دریافت سوال 5



تایید

دریافت سوال 6



تایید

دریافت سوال 10



تایید

دریافت سوال 8



تایید

دریافت سوال 3



تایید