زیرساخت پایدار برگزاری آزمون آنلاین
www.digiform.ir

آزمون آغازین نهم به صورت دیجی فرم

آزمون نمره منفی ندارد دانش آموزان عزیز با دقت به سوالات پاسخ دهید

digiform

استفاده از اپلیکیشن ها و پیامرسان ها، پاسخ به تماس ها و استفاده از کلید های پایین موبایل مجاز نیست

زمان تکمیل این آزمون 20 دقیقه میباشد



تایید و ادامه
مهدیس میرزایی قبادی *



تایید

خانم حسین زاده *



تایید

عددصفر در کدام مجموعه قرار نمی گیرد



تایید

نقطه نمایش کسرمنفی بیست وپنج سوم بین کدام دو نقطه قرار دارد؟



تایید

حاصل کسر مقابل کدام است؟
دریافت سوال 3



تایید

در یک چها ضلعی و ضلع روبه روموازی وقطر های آن برابر هستنداین چهار ضلعی...نام دارد.



تایید

عدد دو به توان۵۰ چند برابر دو به توان۴۷ است؟



تایید

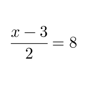
مقدار xدر معادله مقابل کدام است؟
دریافت سوال 6



تایید

مساحت مثلث قائم الزاویه متساوی الساقین۳۲است وتر کدام است؟



تایید

برداری که طول وعرضش برابر باشد چه زاویه ای با محور طولها ایجاد میکند؟



تایید

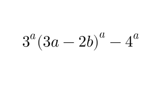
اگرa=۰ باشدوbمخالف صفر.حاصل عبارت مقابل کدام است؟
دریافت سوال 9



تایید

دو تاس را باهم می‌اندازیم احتمال آنکه مجموع اعداد ظاهر شده۶ باشد چند است؟



تایید