زیرساخت پایدار برگزاری آزمون آنلاین
www.digiform.ir

آزمون آغازین ریاضی ۸ به صورت دیجی فرم

سوالات را با دقت پاسخ دهید.هر دانش آموز فقط یکبار می تواند در آزمون شرکت کند. زمان تکمیل آزمون ۴۰ دقیقه است. دقت کنید پس از پاسخ به هر سوال،امکان بازگشت و ویرایش سوال وجود ندارد.

digiform

استفاده از اپلیکیشن ها و پیامرسان ها، پاسخ به تماس ها و استفاده از کلید های پایین موبایل مجاز نیست

زمان تکمیل این آزمون 45 دقیقه میباشد



تایید و ادامه
نام و نام خانوادگی خود را وارد نمایید *



تایید

دریافت سوال 1



تایید

دریافت سوال 2



تایید

دریافت سوال 3



تایید

دریافت سوال 4



تایید

دریافت سوال 5



تایید

دریافت سوال 6



تایید

دریافت سوال 7



تایید

دریافت سوال 8



تایید

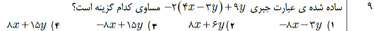
دریافت سوال 9



تایید

دریافت سوال 10



تایید