زیرساخت پایدار برگزاری آزمون آنلاین
www.digiform.ir

آزمون امتحان تستی ریاضی1 - پایانی نوبت دوم- 1400 به صورت دیجی فرم

با توکل بر خدای مهربان و با آرامش به سوالات زیر پاسخ دهید.

digiform

استفاده از اپلیکیشن ها و پیامرسان ها، پاسخ به تماس ها و استفاده از کلید های پایین موبایل مجاز نیست

زمان تکمیل این آزمون 60 دقیقه میباشد



تایید و ادامه
نام و نام خانوادگی خود را وارد نمایید *



تایید

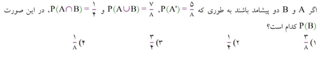
(1 نمره)
دریافت سوال 153



تایید

(1 نمره)
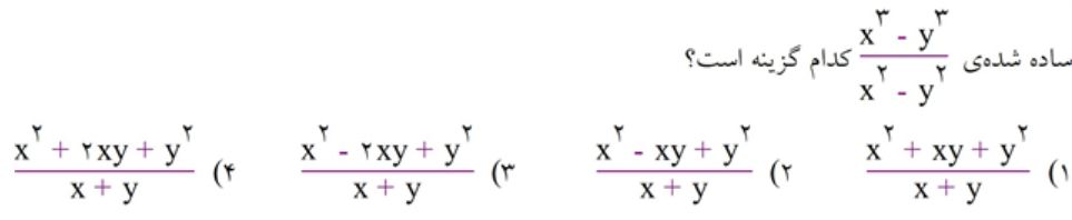
دریافت سوال 130



تایید

(1 نمره)
دریافت سوال 85



تایید

(1 نمره)
دریافت سوال 84



تایید

(1 نمره)
دریافت سوال 140



تایید

(1 نمره)
دریافت سوال 129



تایید

(1 نمره)
دریافت سوال 81



تایید

(1 نمره)
دریافت سوال 108



تایید

(1 نمره)
دریافت سوال 112



تایید

(1 نمره)
دریافت سوال 23



تایید

(1 نمره)
دریافت سوال 160



تایید

(1 نمره)
دریافت سوال 149



تایید

(1 نمره)
دریافت سوال 26



تایید

(1 نمره)
دریافت سوال 69



تایید

(1 نمره)
دریافت سوال 38



تایید

(1 نمره)
دریافت سوال 175



تایید

(1 نمره)
دریافت سوال 94



تایید

(1 نمره)
دریافت سوال 60



تایید

(1 نمره)
دریافت سوال 44



تایید

(1 نمره)
دریافت سوال 36



تایید