زیرساخت پایدار برگزاری آزمون آنلاین
www.digiform.ir

آزمون آنلاین از فصل اول هشتم یک افخمی نیا به صورت دیجی فرم

باسلام.با دقت سوالات را حل کرده و جواب آخر را در گزینه ها علامت بزنید.حتما مراحل جوابهای تشریحی را در مهلت مشخص شده به پی وی من در شاد بفرستید.

digiform

استفاده از اپلیکیشن ها و پیامرسان ها، پاسخ به تماس ها و استفاده از کلید های پایین موبایل مجاز نیست

زمان تکمیل این آزمون 70 دقیقه میباشد



تایید و ادامه
نام و نام خانوادگی خود را وارد نمایید *



تایید

سوال1)حاصل عبارت داده شده زیر کدام گزینه است؟ (1 نمره)
دریافت سوال 1



تایید

سوال2)حاصل عبارت زیر کدام گزینه است؟ (1 نمره)
دریافت سوال 2



تایید

سوال 3)حاصل  عبارت زیر کدام گزینه است؟ (1 نمره)
دریافت سوال 3



تایید

سوال4)به نزدیکترین عدد صحیح تقریب کنید و مجموع  حاصل هر دو عبارت را بدست آورید (1 نمره)
دریافت سوال 4



تایید

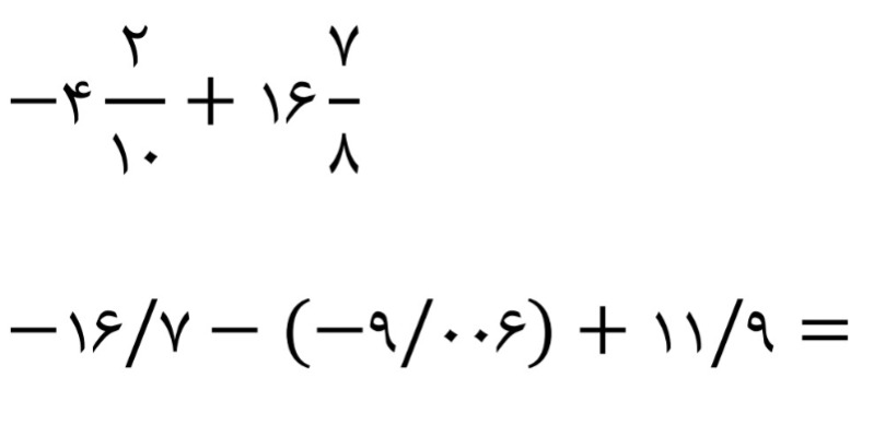
سوال 5) حاصل  عبارت زیر کدام است؟ (1 نمره)
دریافت سوال 5



تایید

سوال6)علامت مثبت و منفی طوری قرار دهید که حاصل بزرگترین شود. (1 نمره)
دریافت سوال 6



تایید

سوال 7)حاصل کدام گزینه است؟ (1 نمره)
دریافت سوال 7



تایید

سوال 8)حاصل جمع اعداد صحیح بین 0 و 81  چند میشود؟ (1 نمره)



تایید

میانگین اعداد داده شده را بدست آورید (1 نمره)
دریافت سوال 9



تایید

حاصل عبارت داده شده زیر را بدست آورید؟ (1 نمره)
دریافت سوال 10



تایید