زیرساخت پایدار برگزاری آزمون آنلاین
www.digiform.ir

آزمون Shimi2 به صورت دیجی فرم

هر کاربر فقط یکبار امکان ورود به آزمون دارد لذا به هیچ عنوان از آزمون خارج نشوید. در فیلد آخر حتما نام و نام خانوادگی را وارد کنید. جدول تناوبی در دسترس داشته باشید.

digiform

استفاده از اپلیکیشن ها و پیامرسان ها، پاسخ به تماس ها و استفاده از کلید های پایین موبایل مجاز نیست

زمان تکمیل این آزمون 60 دقیقه میباشد

پس از پاسخ به هر سوال، امکان بازگشت و ویرایش پاسخ وجود ندارد



تایید و ادامه
کدام پلیمر زیر در محیط مرطوب و در مجاورت آب' استحکام خود را حفظ می کند.



تایید

در تولید پلیمرهای سبز ابتدا ......... موجود در این مواد به ......... تبدیل می شود و پس از آن در شرایط مناسب .......... تولید می شود.



تایید

کدام گزینه نادرست است؟ الف- در الکل ها دو نوع نیروی بین مولکولی واندروالسی و هیدروژنی وجود دارد. ب- همه مواد پیرامون ما ' در دما و فشار اتاق ' آنتالپی معینی دارند. پ- ارزش سوختی پروتئین ها با چربی ها برابر است. ت- واکنش تجزیه سلولز کاغذ بسیار کند است.



تایید

چند مورد از عبارتهای داده شده' صحیح می باشد؟ الف- مصرف خوراکی های حاوی بازدارنده ها موجب افزایش سرعت واکنشهای ناخواسته می شود. ب- رادیکال ' گونه ای فعال و ناپایدار است که واکنش پذیری بالایی دارد. پ- ریز مغذی ها ترکیبات آلی سیر نشده ای هستند' که در حفظ سلامت بافتها نقش اساسی دارند. ت- نگهدارنده ها ' سرعت واکنشهای شیمیایی که منجر به فساد مواد غذایی می شوند را افزایش می دهند.



تایید

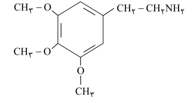
در ترکیب زیر چه گروه های عاملی وجود دارد؟
دریافت سوال 5



تایید

کدام یک از گزینه های زیر در خصوص ساختارهای داده شده ' نادرست است؟
دریافت سوال 6



تایید

کدام یک از عبارتهای زیر نادرست است؟ الف- آمید ها ترکیباتی هستند که در ساختار خود اتم های C -H-O-N دارند. ب- نشاسته یک پلیمر طبیعی است که ضمن گوارش به گلوکز تبدیل می شود. پ- پلی آمید ها ' پلیمرهای زیست تخریب پذیرند. ت- کولار از فولاد هم جرم خود ' 5 برابر مقاوم تر است.



تایید

چند مورد از عبارتهای زیر در خصوص ساختارهای داده شده' صحیح است؟ الف- ساختار 1 پلی تن سبک و ساختار 2 پلی تن سنگین را نشان می دهد. ب- پلی تن سبک کدرتر از پلی تن سنگین است. پ- مونومر سازنده ساختار شماره 1 چگالی ببشتری دارد. ت- مولکولهای اتن در شرایط از کناره ها به یکدیگر متصل شده و ساختار 2 را تولید می کنند.
دریافت سوال 8



تایید

کدام گزینه در خصوص ساختار داده شده (تترا فلوئورو اتن) صحیح نیست؟
دریافت سوال 9



تایید

از واکنش دو ترکیب زیر ، چه ترکیبی حاصل می شود؟
دریافت سوال 10



تایید

کدام گزینه نام ترکیب را به درستی نشان می دهد؟
دریافت سوال 11



تایید

فلز آلومینیوم در معرض اکسیژن ، بهAl2O3، اکسایش می یابد، چه مقدار گرما از اکسایش کامل 14 گرم آلومینیوم در دما و فشار ثابت آزاد می شود؟ 4Al +3O2 ----- 2Al2O3 H=-3352



تایید

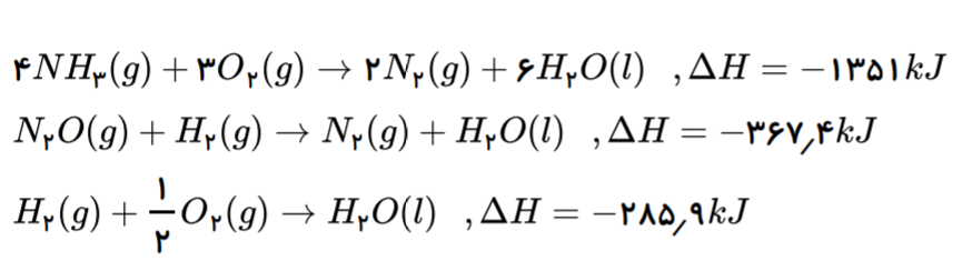
با استفاده از آنتالپی واکنش های داده شده ، آنتالپی واکنش زیر را محاسبه کنید. 2NH3+ 3N2O ----> 4N2 + 3H2O
دریافت سوال 13



تایید

با توجه به جدول ، آنتالپی واکنش زیر چند کیلوژول است؟
دریافت سوال 14



تایید

نمودار زیر ، تغییر تعداد مولهای نوعی رنگ غذا در واکنش با محلول سفید کننده را نشان می دهد. سرعت متوسط مصرف رنگ غذا را در بازه زمانی 100 تا 200 ثانیه ، برحسب مول بر دقیقه حساب کنید؟
دریافت سوال 15



تایید

نام و نام خانوادگی خود را وارد نمایید *



تایید