زیرساخت پایدار برگزاری آزمون آنلاین
www.digiform.ir

آزمون حسابان2 فصل3 به صورت دیجی فرم

دوستان عزیز سلام سوالات زیر از فصل ۳ کتاب حسابان۲ وجهت سنجش میزان یادگیری شماست. امیدوارم به بهترین نحو پاسخ دهید

digiform

استفاده از اپلیکیشن ها و پیامرسان ها، پاسخ به تماس ها و استفاده از کلید های پایین موبایل مجاز نیست

زمان تکمیل این آزمون 30 دقیقه میباشد

در هنگام شروع آزمون دوربین فعال میشود



تایید دوربین
نام و نام خانوادگی خود را وارد نمایید *



تایید

سوال۱
دریافت سوال 1



تایید

سوال۲
دریافت سوال 2



تایید

سوال۳
دریافت سوال 3



تایید

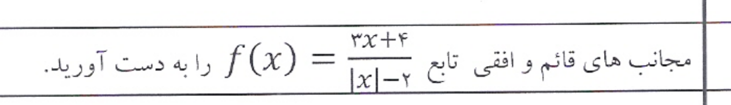
سوال۴
دریافت سوال 4



تایید