زیرساخت پایدار برگزاری آزمون آنلاین
www.digiform.ir

آزمون مشتق به صورت دیجی فرم

با نام و یاد خدا به سوالات پاسخ دهید.

digiform

استفاده از اپلیکیشن ها و پیامرسان ها، پاسخ به تماس ها و استفاده از کلید های پایین موبایل مجاز نیست

زمان تکمیل این آزمون 30 دقیقه میباشد



تایید و ادامه
نام و نام خانوادگی خود را وارد نمایید *



تایید

شماره دانشجویی خود را وارد نمایید *



تایید

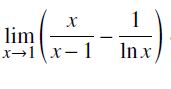
محاسبه کنید
دریافت سوال 7



تایید

مشتق y بر حسب x را بیابید. ( مشتق ضمنی)
دریافت سوال 10



تایید

دریافت سوال 12



تایید

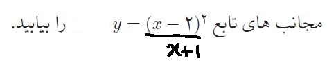
محاسبه کنید
دریافت سوال 4



تایید