زیرساخت پایدار برگزاری آزمون آنلاین
www.digiform.ir

آزمون فصل اول ریاضی نهم 901 به صورت دیجی فرم

به نام خدا سوالات را با دقت و با راه حل کامل پاسخ دهید.آزمون 10 نمره ای است.

digiform

استفاده از اپلیکیشن ها و پیامرسان ها، پاسخ به تماس ها و استفاده از کلید های پایین موبایل مجاز نیست

زمان تکمیل این آزمون 50 دقیقه میباشد



تایید و ادامه
نام و نام خانوادگی خود را وارد نمایید *



تایید

*
دریافت شماره کلاس



تایید

دریافت سوال 1



تایید

دریافت سوال 2



تایید

دریافت سوال 3



تایید

دریافت سوال 4



تایید

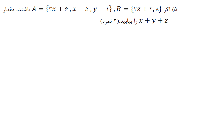
دریافت سوال 5



تایید