زیرساخت پایدار برگزاری آزمون آنلاین
www.digiform.ir

آزمون جامع پایه هشتم دبیرستان شاهد مهر کلاس هشتم A به صورت دیجی فرم

آزمون به صورت چهارگزینه ای برگزار می شود .مدت زمان آزمون 120 دقیقه تعداد سوالات 56 تامی باشند.

digiform

استفاده از اپلیکیشن ها و پیامرسان ها، پاسخ به تماس ها و استفاده از کلید های پایین موبایل مجاز نیست

زمان تکمیل این آزمون 120 دقیقه میباشد



تایید و ادامه
نام و نام خانوادگی خود را وارد نمایید *



تایید

کد ملی خود را وارد نمایید *



تایید

در همه ی گزینه ها نوعی جناس وجود دارد بجز گزینه... (1 نمره)



تایید

در کدام گره اسمی وابسته ی پیشین شمارشی وجود ندارد. (1 نمره)



تایید

کدام گزینه درباره بیت زیر درست است ؟ 
آتش است و این بانگ نای و نیست باد. / هر که ایت آتش ندارد نیس باد
(1 نمره)



تایید

عبارت زیر از چند جمله تشکیل شده است؟
سید جمال آرام و قرار نداشت ، گاه در مصر بود، گاه در استانبول ، گاه در افغانستان و گاه در هند (1 نمره)



تایید

در بیت زیر کدام ارائه های ادبی وجود ندارد ؟
ای هدهد صبا به سبا می فرستمت. / بنگر که از کجا له کجا می فرستمت (1 نمره)



تایید

معنی کدام واژه نادرست است؟ (1 نمره)



تایید

عبارت زیر چه کسی را معرفی میکند؟
واقعه ی کربلا ما باید استاد معتبر تاریخی به نظم در آورده است. بخش نخست دیوان شهر او ( مقتل منظوم ) در قالب ترکیب بند سروده شده است که حدود چهار هزار و دویست بیت دارد . (1 نمره)



تایید

کدام کانی درجه سختی بالاتری دارد و کدام کمترین سختی را دارد : (1.25 نمره)



تایید

سیلیکات ها عمدتا چگونه تشکیل می شوند و مانند کدام کانی است، دو نمونه کانی سیلیکاتی نام ببرید: (1.25 نمره)



تایید

هر سنگ به ترتیب جزء کدام گروه است:
( بازالت_ سنگ آهک_ مرمر ) (1.25 نمره)



تایید

در مناطق کوهستانی و بیابانی به¬ترتیب کدام رخ می¬دهند: (1.25 نمره)



تایید

حاصل هوازدگی چیست و تبلور ماگما چه سنگی را به وجود می آورد: (1.25 نمره)



تایید

کدام عبارت صحیح است: (1.25 نمره)



تایید

درست¬ترین گزینه را انتخاب کنید: (1.25 نمره)



تایید

ترجمه عبارت « لِهذِهِ الأُسرَةِ سِتَّةُ أولادٍ وبَناتٍ » کدام است؟ (1 نمره)



تایید

در کدام گزینه همه فعل ها مضارع و دوم شخص جمع هستند؟ (1 نمره)



تایید

در کدام گزینه ترجمه فعل های « تَاکُلُ ، تَجلِبنَ » صحیح است؟ (1 نمره)



تایید

ترجمه کدام واژه صحیح است؟ (1 نمره)



تایید

مَتی تَرجِعینَ مِنَ السفرِ ؟ ...... (1 نمره)



تایید

کدام گزینه مترادف نیست؟ (1 نمره)



تایید

ضمیر و فعل در کدام گزینه صحیح نیست؟ (1 نمره)



تایید

اوج شکوفایی آجرکاری و کاشی کاری در بناها در چه قرونی بوده است؟ (1 نمره)



تایید

آخرین ایلخان مغول چه کسی بود؟ (1 نمره)



تایید

چه کسی هلاکو خان را به ساختن رصدخانه مراغه تشویق کرد؟ (1 نمره)



تایید

بخش های داخلی و مرکزی آسیا چه آب وهوایی دارند؟ (1 نمره)



تایید

کدام کشورهای آسیایی عضو کشورهای گروه هشت هشتند؟ (1 نمره)



تایید

پر جمعیت ترین کشور در جنوب غرب آسیا کدام کشور می باشد؟ (1 نمره)



تایید

متراکم ترین نقطه ی جهان از نظر جمعیت ، کجاست؟ (1 نمره)



تایید

پیام آیه « اِنّما المومنونَ اِخوَةٌ » چیست (1 نمره)



تایید

بهترین راه درمان غیبت این است که : (1 نمره)



تایید

 امام علی ( ع ) می فرماید : کسی که اموالش را از راه نادرست به دست می‌آورد............ (1 نمره)



تایید

رسول خدا(ص) استجابت دعاها را ................... بیان فرمود. (1 نمره)



تایید

دعا نکردن چه اثری در زندگی انسان دارد ؟ (1 نمره)



تایید

همه موارد زیر از ثمرات دعا و نیایش است به جز....... (1 نمره)



تایید

اختلاف اصلی شیعیان و اهل سنت در چیست ؟ (1 نمره)



تایید

where is Isfahan? It’s in the ................. of Iran (1.25 نمره)



تایید

 What’s Khorramabad

?like

..........It’s  (1.25 نمره)



تایید

Is there a metro system

 ?in Tehran

............ ,Yes (1 نمره)



تایید

Khorramabad is .................. in winter (1 نمره)



تایید

Kamalvand is a ................. village (1 نمره)



تایید

Are there many people in

........,the village? No (1 نمره)



تایید

They work on farms

............and raise  (1 نمره)



تایید

لایُخلِفُ الله وَعدَهُ. (1 نمره)



تایید

هُدًی وَ رحمَةً لِلمُحْسِنینَ : (1 نمره)



تایید

وَتَوکَّلْ عَلَی اللَّهِ : (1 نمره)



تایید

اِنّا اَرسَلْناکَ : (1 نمره)



تایید

یولِجُ النَّهار فی الَّیلِ : (1 نمره)



تایید

وَما یَنزِلُ مِنَ السَّماء : (1 نمره)



تایید

قُل ِ الّٰلهَ اَعبُدُ : (1 نمره)



تایید

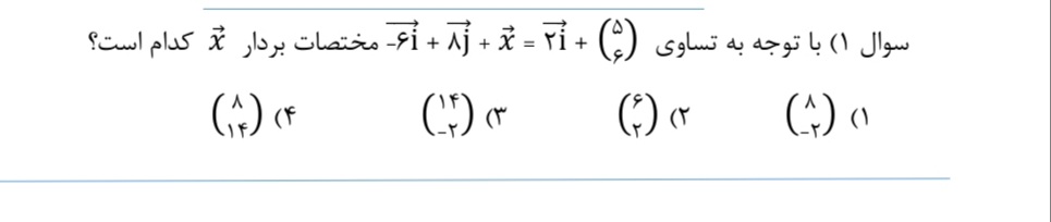
(1.25 نمره)
دریافت سوال 50



تایید

(1.25 نمره)
دریافت سوال 51



تایید

(1.25 نمره)
دریافت سوال 52



تایید

(1.25 نمره)
دریافت سوال 53



تایید

(1.25 نمره)
دریافت سوال 54



تایید

(1.25 نمره)
دریافت سوال 55



تایید

(1.25 نمره)
دریافت سوال 56



تایید