زیرساخت پایدار برگزاری آزمون آنلاین
www.digiform.ir

آزمون ریاضی یازدهم به صورت دیجی فرم

سلام به امید موفقیت

digiform

استفاده از اپلیکیشن ها و پیامرسان ها، پاسخ به تماس ها و استفاده از کلید های پایین موبایل مجاز نیست

زمان تکمیل این آزمون 10 دقیقه میباشد

پس از پاسخ به هر سوال، امکان بازگشت و ویرایش پاسخ وجود ندارد



تایید و ادامه
نام و نام خانوادگی خود را وارد نمایید *



تایید

نام معلم خود را وارد نمایید *



تایید

کد ملی خود را وارد نمایید *



تایید

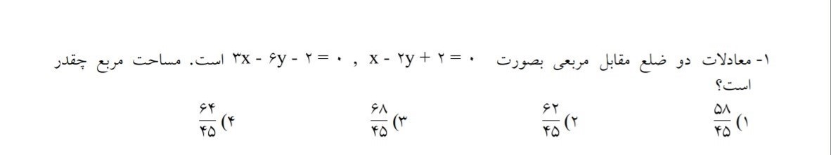
دریافت سوال 4



تایید

دریافت سوال 2



تایید

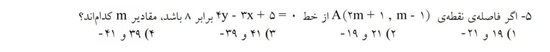
دریافت سوال 5



تایید

دریافت سوال 1



تایید

دریافت سوال 3



تایید