زیرساخت پایدار برگزاری آزمون آنلاین
www.digiform.ir

آزمون کلاسی شیمی یازدهم _ 18 اسفند 1400. 🌺🌺 کلاس 11/2تجربی. 🧑‍🔬🧑‍🔬🧑‍🔬🧑‍🔬🧑‍🔬🧑‍🔬🧑‍🔬🌺🌺🌺🌺🌺🌺 به صورت دیجی فرم

digiform

استفاده از اپلیکیشن ها و پیامرسان ها، پاسخ به تماس ها و استفاده از کلید های پایین موبایل مجاز نیست

زمان تکمیل این آزمون 45 دقیقه میباشد

در هنگام شروع آزمون دوربین فعال میشود



مرحله بعد
نام و نام خانوادگی خود را وارد نمایید *



تایید

کدام واکنش ،معادله مربوط به آنتاپی سوختن اتان را در دمای ۲۵ درجه سیلیسیوس به درستی نشان می دهد . (0.75 نمره)
دریافت سوال 19



تایید

(0.75 نمره)
دریافت سوال 29



تایید

کدام یک از عبارات زیر درست هستند .

الف ) حذف اکسیژن از محیط نگه داری مواد غذایی سبب کاهش زمان ماندگاری آنها می شود .

ب ) در یک تکه زغال ،  مساحت جانبی سطح تماس با شعله را هنگام سوختن یک ماده نشان می دهد . 

پ )هرچه گستره زمانی انجام یک واکنش کم تر باشد ،آهنگ انجام این واکنش کندتر خواهد بود .

ت ) سرعت واکنش ،آهنگ واکنش در گستره معینی از زمان از چند صدم ثانیه تا چند سده را در بر می گیرد .

 ث)آهنگ پیر شدن ،کند تر از زنگ زدن وسایل آهنی و تند تر از پوسیده شدن و زرد شدن کتاب است . 

(0.75 نمره)



تایید

به ازای مصرف مقداری آلومنیم مقدار ۸۲۲/۹۶ کیلوژول گرما آزاد می شود . این مقدار گرما دمای  ۱۵۰۰ گرم آب خالص را تا چند درجه می تواند افزایش دهد . ( ظرفیت گرمایی ویژه آب ۴/۱۸ ژول بر گرم بر درجه سلسیوس است ) (0.75 نمره)



تایید

(0.75 نمره)
دریافت سوال 28



تایید

اگر از سوختن ۹ گرم اتان ، ۴۶۸کیلو ژول گرما آزاد شود آنتالپی واکنش زیر را حساب کنید .(جرم مولی اتان ۳۰ گرم بر مول )


  (0.75 نمره)
دریافت سوال 32



تایید

با توجه به ساختار روبرو فرمول مولکولی و گروههای عاملی این ساختار در کدام گزینه صحیح است. (0.75 نمره)
دریافت سوال 23



تایید

(0.75 نمره)
دریافت سوال 4



تایید

(0.75 نمره)
دریافت سوال 3



تایید

در کدام  یک از پیوند های داده شده در گزینه ها به جای  آنتالپی پیوند از میانگین آنتالپی پیوند استفاده می شود  (0.75 نمره)



تایید

مقدار آنتاپی  در معادله دوم  کدام گزینه است . (0.75 نمره)
دریافت سوال 39



تایید

در کدام فر ایند سطح انرژی فراورده ها بالاتر از واکنش دهنده ها می باشد .(گرماگیر است ) (0.75 نمره)



تایید

اگر ارزش سوختی اتانول ۲۹/۷۴کیلوژول بر گرم باشد .آنتالپی سوختن آن کدام گزینه است
(جرم مولی اتانول ۴۶گرم بر مول )
(0.75 نمره)



تایید

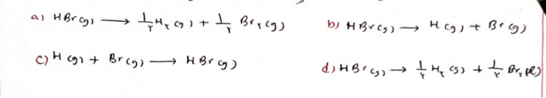
کدام گزینه ، معادله مربوط به آنتاپی H-Br را به درستی نشان می دهد . (0.75 نمره)
دریافت سوال 25



تایید

در کدام  یک از پیوند های داده شده در گزینه ها از آنتاپی پیوند استفاده می شود  (0.75 نمره)



تایید

اگر در واکنش زیر به ازای سوختن ۲/۳ گرم اتانول ،۶۱/۷۵ کیلوژول گرما آزاد شده باشد .آنتالپی واکنش زیر را حساب کنید .( جرم مولی اتانول ۴۶گرم بر مول ) (0.75 نمره)
دریافت سوال 22



تایید

اگر آنتالپی ذوب نفتالن ۱۹/۱ و آنتالپی میعان نفتالن ۴۰/۴۶- کیلوژول بر مول باشد 
آنتالپی تصعید نفتالن کدام گزينه است .
راهنمایی ( در این سوال با نوشتن معادله مربوط به ذوب ، میعان و تصعید نفتالن و داشتن آنتالپی مربوط به ذوب و میعان و با استفاده از قانون هس آنتالپی مربوط به تصعید نفتالن را می توانید به دست آورید )
(0.75 نمره)



تایید

در اثر حل شدن مقداری کلسیم اکسید در آب مقدار ۵ کیلوژول گرما آزاد شده است این مقدار گرما دمای ۱۰۰ گرم آب را تا چند درجه می تواند افزایش دهد .( ظرفیت گرمایی ویژه آب ۴/۱۸ ژول بر گرم بر درجه سلسیوس است ) (0.75 نمره)



تایید

(0.75 نمره)
دریافت سوال 2



تایید

برای افزایش دمای ۱۰۰ گرم سرب از دمای ۲۰ به دمای ۴۵ درجه سلسیوس ، ۳۱۲/۵ ژول گرما نیاز است .ظرفیت گرمایی ویژه سرب را حساب کنید . (0.75 نمره)



تایید