زیرساخت پایدار برگزاری آزمون آنلاین
www.digiform.ir

آزمون ریاضی (1) _ دهم ریاضی _ دبیرستان غیر دولتی ستارگان به صورت دیجی فرم

تعداد سوالات 5: و سوالات بصورت تصادفی برای هر دانش آموز توسط سیستم انتخاب می شود.

مدت زمان آزمون: 60 دقیقه است.

لطفا پاسخ تشریحی را علاوه بر بارگذاری در سایت ، بصورت pdf به واتساپ شخصی در زمان مقرر ارسال کنید. ( ارسالی بعد از زمان مقرر (11:00) تصحیح نخواهد شد)

در صورت خروج از سایت به هر دلیلی ، آزمون تمام شده و امکان حضور مجدد وجود ندارد.

digiform

استفاده از اپلیکیشن ها و پیامرسان ها، پاسخ به تماس ها و استفاده از کلید های پایین موبایل مجاز نیست

زمان تکمیل این آزمون 60 دقیقه میباشد



مرحله بعد
نام و نام خانوادگی خود را وارد نمایید *



تایید

(2 نمره)
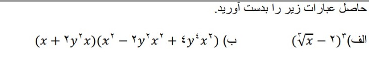
دریافت سوال 13



تایید

(2 نمره)
دریافت سوال 19



تایید

(2 نمره)
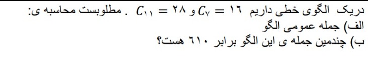
دریافت سوال 14



تایید

(2 نمره)
دریافت سوال 20



تایید

(2 نمره)
دریافت سوال 17



تایید