زیرساخت پایدار برگزاری آزمون آنلاین
www.digiform.ir

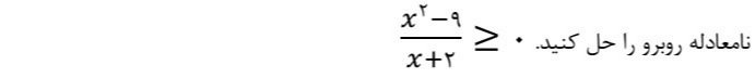
آزمون سوال 4 کلاس 201 به صورت دیجی فرم

آزمون  ریاضی کلاس 201 میان ترم دوم     دبیرستان شاهد هفتم تیر    اسفند 1400

digiform

استفاده از اپلیکیشن ها و پیامرسان ها، پاسخ به تماس ها و استفاده از کلید های پایین موبایل مجاز نیست

زمان تکمیل این آزمون 20 دقیقه میباشد

پس از پاسخ به هر سوال، امکان بازگشت و ویرایش پاسخ وجود ندارد



تایید و ادامه
نام و نام خانوادگی خود را وارد نمایید *



تایید

(2.5 نمره)
دریافت سوال 4



تایید