زیرساخت پایدار برگزاری آزمون آنلاین
www.digiform.ir

آزمون شهریور ماه ریاضی هشتم به صورت دیجی فرم

دانش آموزان عزیز با دقت به سوالات پاسخ دهید .

digiform

استفاده از اپلیکیشن ها و پیامرسان ها، پاسخ به تماس ها و استفاده از کلید های پایین موبایل مجاز نیست

زمان تکمیل این آزمون 50 دقیقه میباشد

پس از پاسخ به هر سوال، امکان بازگشت و ویرایش پاسخ وجود ندارد



تایید و ادامه
نام و نام خانوادگی خود را وارد نمایید *



تایید

نام مدرسه خود را وارد نمایید *



تایید

نام معلم خود را وارد نمایید *



تایید

شماره کلاس خود را وارد نمایید *



تایید

کد ملی خود را وارد نمایید *



تایید

معکوس کدام عدد از خودش کوچکتر است



تایید

حاصل عبارت 3×3+7-2×8÷32- برابر است با :



تایید

حاصل ضرب هرعدد در معکوسش مساوی ..... است .



تایید

ب . م .م دو عدد که نسبت به هم اول هستند برابر .......... است .



تایید

محموع دو عدد اول 143 می باشد آن دو عدد کدام است :



تایید

کدام شکل زیر محور تقارن دارد ولی مرکز تقارن ندارد .



تایید

شکل زیر یک متوازی الاضلاع است مقدار مجهول x را بدست آورید .
دریافت سوال 7



تایید

اندازه ی هر زاویه ی داخلی یک 10 ضلعی منتظم چند درجه است



تایید

مقدار عددي عبارت 2x-3y را به ازاي 3 =x و 2=y به دست آوريد.



تایید

5 واحد کمتر از 3 برابر عددی 10 شده معادله مساله کدام است .



تایید

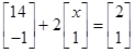
مقدار x را محاسبه کنید .
دریافت سوال 11



تایید

حاصل عبارت زیر برابر است با :
دریافت سوال 12



تایید

مقدار x را حساب کنید .
دریافت سوال 13



تایید

در یک مثلث قائم الزاویه اگر اندازه وتر آن 5 و یک ضلع آن 4 باشد اندازه ضلع دیگر آن برابر است با ...................



تایید

حاصل عبارت زیر برابر است با :
دریافت سوال 15



تایید

اگز دو زاویه و ضلع بین آن ها از یک مثلث با دو زاویه و ضلع بین آن ها از مثلث دیگری باهم مساوی باشند می گوییم آن دو مثلث به حالت ......... هم نهشت هستند .



تایید

در یک داده آماری بیشترین داده 18 و کمترین داده 3 است دامنه تقییرات آن برابر است با :



تایید

تاسی را پرتاب می کنیم احتمال اینکه عدد رو شده اول باشد پقدر است :



تایید

کدام یک از جملات زیر در مورد دایره نادرست است :



تایید

در شکل زیر اندازه زلویه O چند درجه است :
دریافت سوال 20



تایید