زیرساخت پایدار برگزاری آزمون آنلاین
www.digiform.ir

آزمون ریاضی - عبارات جبری پایه هشتم به صورت دیجی فرم

سلام بر شما عزیزان. لطفاَ بعد اتمام آزمون دکمه ثبت را بزنید.

digiform

استفاده از اپلیکیشن ها و پیامرسان ها، پاسخ به تماس ها و استفاده از کلید های پایین موبایل مجاز نیست

زمان تکمیل این آزمون 90 دقیقه میباشد



مرحله بعد
نام و نام خانوادگی خود را وارد نمایید *



تایید

کد ملی خود را وارد نمایید *



تایید

نام مدرسه خود را وارد نمایید *



تایید

توضیح : با جاگذاری شماره جمله میتوانید راحت تر گزینه مناسب را بدست آورید. (1 نمره)
دریافت سوال 8



تایید

توضیح: ابتدا به جای x عدد 1 را قرار داده سپس مقدار k را بدست بیاورید. (1 نمره)
دریافت سوال 22



تایید

(1 نمره)
دریافت سوال 6



تایید

(1 نمره)
دریافت سوال 5



تایید

توضیح: الگوی مربعی هست. (1 نمره)
دریافت سوال 25



تایید

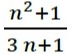
(1 نمره)
دریافت سوال 9



تایید

توضیح: ابتدا فاکتور گیری (تجزیه) کنید سپس با مخرج ساده کنید. (1 نمره)
دریافت سوال 19



تایید

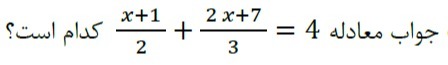
(1 نمره)
دریافت سوال 4



تایید

راهنمایی: ابتدا فاکتور گیری کرده سپس مقادیر را جاگذاری کنید. (1 نمره)
دریافت سوال 27



تایید

(1 نمره)
دریافت سوال 2



تایید

توضیح : ابتدا عبارت [(a-2b) به توان2] را ساده کرده سپس مقادیر را جاگذاری نموده حاصل را بدست آورید (1 نمره)
دریافت سوال 17



تایید

توضیح : ابتدا عبارت [(a-b) به توان2] را ساده کرده سپس مقادیر را جاگذاری نموده حاصل را بدست آورید (1 نمره)
دریافت سوال 14



تایید

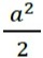
(1 نمره)
دریافت سوال 12



تایید

تفاضل (تفریق) هر عدد دو رقمی از مقلوبش , برابر ............ می شود. (1 نمره)



تایید

توضیح: الگوی مثلثی.    الگوی مثلثی نصف الگوی مستطیلی است. با جاگذاری شماره شکل هم میتوان به جواب رسید. (1 نمره)
دریافت سوال 7



تایید

(1 نمره)
دریافت سوال 11



تایید

(1 نمره)
دریافت سوال 13



تایید

(1 نمره)
دریافت سوال 28



تایید

(1 نمره)
دریافت سوال 21



تایید

(1 نمره)
دریافت سوال 23



تایید