زیرساخت پایدار برگزاری آزمون آنلاین
www.digiform.ir

آزمون ریاضی فصل 6 پایه نهم به صورت دیجی فرم

هرسوال را در چرک نویس بطور کامل حل کنید وسپس جواب صحیح را از بین گزینه ها انتخاب کنید 

digiform

استفاده از اپلیکیشن ها و پیامرسان ها، پاسخ به تماس ها و استفاده از کلید های پایین موبایل مجاز نیست

زمان تکمیل این آزمون 120 دقیقه میباشد



تایید و ادامه
نام و نام خانوادگی خود را وارد نمایید *



تایید

روی خط زیر نقطه ای پیدا کنید که عرض آن 1+باشد  (1 نمره)
دریافت سوال 1



تایید

کدام یک از خطوط زیر از مبدا مختصات می گذرد؟  (1 نمره)



تایید

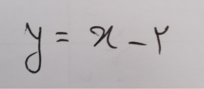
معادله خطی که از نقاط داده شده می گذرد کدام است  (1 نمره)
دریافت سوال 3



تایید

عرض از مبدا در معادله زیر چند است  (1 نمره)
دریافت سوال 4



تایید

مختصات محل برخورد خط زیر  با محورهای مختصات کدام است؟  (1 نمره)
دریافت سوال 5



تایید

کدام یک از نقاط زیر روی خط داده شده قرار دارند؟  (1 نمره)
دریافت سوال 6



تایید

عرض از مبدا در معادله زیر چند است؟  (1 نمره)
دریافت سوال 7



تایید

معادله خطی که شیب آن 2+ باشد واز نقطه داده شده بگذرد کدام است؟  (1 نمره)
دریافت سوال 8



تایید

شیب خط در شکل داده شده چند است؟  (1 نمره)
دریافت سوال 9



تایید

معادله خط رسم شده کدام است؟  (1 نمره)
دریافت سوال 10



تایید

شیب خط چند است؟  (1 نمره)
دریافت سوال 11



تایید

معادله خط داده شده کدام است؟  (1 نمره)
دریافت سوال 12



تایید

شیب خطی که از نقاط داده شده می گذرد چند است؟  (1 نمره)
دریافت سوال 13



تایید

باتوجه به دستگاه داده شده کدام گزینه در مورد دستگاه درست نوشته شده است  (1 نمره)
دریافت سوال 14



تایید

نقطه مشترک بین خط های زیر کدام است؟  (1 نمره)
دریافت سوال 15



تایید

باتوجه به خط رسم شده عرض از مبدا چند است؟  (1 نمره)
دریافت سوال 16



تایید

مجموع قد مریم ومادرش 2 مترو 50 سانتی متر است، قد مادر 70 سانتی متر بیشتر از قد مریم است قد هرکدام چقدر است؟  (1 نمره)



تایید

معادله خطی که از محل برخورد دوخط   1= x-y و 1 = x+y می گذرد وشیب آن 5 است کدام مورد می باشد؟  (1 نمره)



تایید

روی خط داده شده نقطه ای پیدا کنید که طول آن 3- باشد  (1 نمره)
دریافت سوال 19



تایید

شیب خط به معادله داده شده چند است؟  (1 نمره)
دریافت سوال 20



تایید

شماره کلاس خود را وارد نمایید *



تایید