زیرساخت پایدار برگزاری آزمون آنلاین
www.digiform.ir

آزمون ریاضی2 اسفند به صورت دیجی فرم

به نام خدا

digiform

استفاده از اپلیکیشن ها و پیامرسان ها، پاسخ به تماس ها و استفاده از کلید های پایین موبایل مجاز نیست

زمان تکمیل این آزمون 80 دقیقه میباشد



تایید و ادامه
نام و نام خانوادگی خود را وارد نمایید *



تایید

شماره کلاس خود را وارد نمایید *



تایید

(1 نمره)
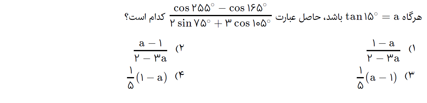
دریافت سوال 7



تایید

(1 نمره)
دریافت سوال 27



تایید

(1 نمره)
دریافت سوال 19



تایید

(1 نمره)
دریافت سوال 12



تایید

(1 نمره)
دریافت سوال 11



تایید

(1 نمره)
دریافت سوال 21



تایید

(1 نمره)
دریافت سوال 17



تایید

(1 نمره)
دریافت سوال 9



تایید

(1 نمره)
دریافت سوال 16



تایید

(1 نمره)
دریافت سوال 8



تایید

(1 نمره)
دریافت سوال 13



تایید

(1 نمره)
دریافت سوال 25



تایید

(1 نمره)
دریافت سوال 28



تایید

(1 نمره)
دریافت سوال 1



تایید

(1 نمره)
دریافت سوال 22



تایید