زیرساخت پایدار برگزاری آزمون آنلاین
www.digiform.ir

آزمون ریاضی2 اسفندماه 1400 دبیرستان شاهد معراج ناحیۀ5 به صورت دیجی فرم

آزمون از فصل 4 کتاب ریاضی جهت کلاس261 و  20 نمره ای تعریف شده است.

digiform

استفاده از اپلیکیشن ها و پیامرسان ها، پاسخ به تماس ها و استفاده از کلید های پایین موبایل مجاز نیست

زمان تکمیل این آزمون 65 دقیقه میباشد



مرحله بعد
کد ملی خود را وارد نمایید *



تایید

نام و نام خانوادگی خود را وارد نمایید *



تایید

(1 نمره)
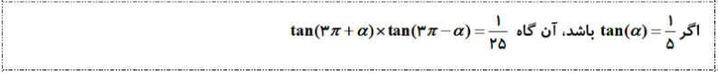
دریافت سوال 1



تایید

(1 نمره)
دریافت سوال 2



تایید

(2 نمره)
دریافت سوال 3



تایید

(2 نمره)
دریافت سوال 4



تایید

(2 نمره)
دریافت سوال 5



تایید

(2 نمره)
دریافت سوال 6



تایید

(2 نمره)
دریافت سوال 7



تایید

(1 نمره)
دریافت سوال 8



تایید

(1 نمره)
دریافت سوال 9



تایید

(2 نمره)
دریافت سوال 10



تایید

(2 نمره)
دریافت سوال 11



تایید

(2 نمره)
دریافت سوال 12



تایید